Exam 2 Psych201

0.0(0)
studied byStudied by 0 people
0.0(0)
full-widthCall with Kai
GameKnowt Play
New
learnLearn
examPractice Test
spaced repetitionSpaced Repetition
heart puzzleMatch
flashcardsFlashcards
Card Sorting

1/50

encourage image

There's no tags or description

Looks like no tags are added yet.

Study Analytics
Name
Mastery
Learn
Test
Matching
Spaced

No study sessions yet.

51 Terms

1
New cards

Frequency distribution

a representation, in either tabular or graphical form, that displays the number of observations for each score or within a particular interval

<p><span style="background-color: rgba(0, 0, 0, 0); line-height: 22.0875px;">a representation, in either tabular or graphical form, that displays the number of observations for each score or within a particular interval</span></p>
2
New cards

Relative Frequency Distribution

a representation that shows the proportion (or percentage) of the total number of observations associated with each value or class of values

<p>a representation that <span style="background-color: rgba(0, 0, 0, 0); line-height: 22.0875px;">shows the proportion (or percentage) of the total number of observations associated with each value or class of values</span></p>
3
New cards

Class interval frequency distribution

a representation where data are grouped by interval (bins) and the frequency for each is listen. Appropriate for data that is on the interval or ratio scale

<p>a representation where <span style="line-height: 22.0875px;">data are grouped by interval (bins) and the frequency for each is listen. Appropriate for data that is on the interval or ratio scale</span></p>
4
New cards

Frequency polygon 

a line graph that shows the distribution of continuous data by plotting the frequency of each class at its midpoint and connecting these points with straight lines  

<p><span style="line-height: 22.0875px;">a line graph that shows the distribution of continuous data by plotting the frequency of each class at its midpoint and connecting these points with straight lines&nbsp;&nbsp;</span></p>
5
New cards

Descriptive statistics

numeral measures that describe a distribution by providing information on the central tendency of the distribution, the width of the distribution, and the shape of the distribution (mean, median, mode, etc)

6
New cards

Inferential statistics

Procedures for drawing conclusions about a population based on data collected from a sample 

7
New cards

Measures of central tendency

Measures that characterize the middleness of an entire distribution (mean, median, mode)

8
New cards

Parameters

numbers that describe the properties of the ENTIRE POPULATION

9
New cards

Statistics

Numbers that describe the properties of a SAMPLE. Can provide an estimate of the population parameters

10
New cards

Population mean symbol

µ

11
New cards

Population standard deviation symbol

σ

12
New cards

Sample mean symbol

13
New cards

Sample standard deviation symbol

Sx

14
New cards

Negatively skewed distribution

Tail points in negative direction. Mean < median < mode

<p>Tail points in negative direction. Mean &lt; median &lt; mode</p>
15
New cards

Positively skewed distribution

Tail points in positive direction. Mode < median < mean

<p>Tail points in positive direction. Mode &lt; median &lt; mean</p>
16
New cards

Excess kurtosis

a measure of the “tailedness" of the distribution relative to a normal distribution. Includes leptokurtic, mesokurtic, and platykurtic

17
New cards

Leptokurtic

kurtosis > 0 (light tails). Sharper central peak, fatter tails compared to normal distribution

<p>kurtosis &gt; 0 (light tails). Sharper central peak, fatter tails compared to normal distribution</p>
18
New cards

Mesokurtic

kurtosis = 0. Normal distribution

<p>kurtosis = 0. Normal distribution</p>
19
New cards

Platykurtic

kurtosis < 0 (heavy tails). Shorter central peak, thinner tails

<p>kurtosis &lt; 0 (heavy tails).&nbsp;Shorter central peak, thinner tails</p>
20
New cards

Sampling distribution

the distribution of a statistic (e.g., the mean) made from multiple samples of the same size taken from the population

<p>the distribution of a statistic (e.g., the mean) made from multiple samples of the same size taken from the population</p>
21
New cards

Central limit theorem rules

  1. If a population has a normal distribution, the sampling distribution of the mean is normally distributed.

  2. If the sample size is at least 30, the sampling distribution of the mean will be normally distributed regardless of shape of population distribution

22
New cards

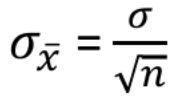
Standard error of the mean

the standard deviation of a sampling distribution of the sample mean. Indicates how much a sample mean is likely to differ from the true population mean. Lower standard error means mean is a more precise measure of population mean. Larger samples tend to provide a more precise estimate of pop mean.

<p>the standard deviation of a sampling distribution of the sample mean. Indicates how much a sample mean is likely to differ from the true population mean. Lower standard error means mean is a more precise measure of population mean. Larger samples tend to provide a more precise estimate of pop mean. </p>
23
New cards

Coefficient of determination (R²)

Measures the proportion of variance in one variable that is accounted by another variable. ex. 88% of variance in weight can be explained by the variance in height

24
New cards

Norm-referenced tests

a test that includes norms designed to compare the performance of examinees taking test to performance of similar individuals who took the same test and whose scores were used to generate the norms.

25
New cards

Norming group

Sample taken from the population of all potential examinees for a norm-referenced test. It is often a stratified random sample defined by gender, age, SES, race, geographic region

26
New cards

National norm

Compare student with the population at large in norm-referenced test

27
New cards

Local norm

Compare student with students that match on some demographic variable (ex. school district) in norm-referenced test

28
New cards

Percentile rank

Way to report test score that outlines the percentage of examinees that score at or below that score. Normal distributions can be used to calculate.

<p>Way to report test score that outlines the percentage of examinees that score at or below that score. Normal distributions can be used to calculate.</p>
29
New cards

Stanines (standard nine)

Way to report test score where there is a nine-point scale that converts percentile ranks into larger unites. Divides normal distribution into 9 parts and the parts are not equal. Middle stanine is 5 and is 20%

<p>Way to report test score where there is a nine-point scale that converts percentile ranks into larger unites. Divides normal distribution into 9 parts and the parts are not equal. Middle stanine is 5 and is 20%</p>
30
New cards

Grade equivalent

A way to report tests score where a scale used to convert raw scores into grade level norm by expressing scores in terms of years then months (ex. 4.2 corresponds to a score of average students in the second month of fourth grade)

31
New cards

Grade equivalent 7.5 in 4th grade example

Means that the average seventh grader in the fifth month of the year would be expected to get the same score as that fourth grader if the seventh grader took the fourth grader’s test. Does not mean fourth grader took seventh grader test or that the fourth grader would score like a seventh grader in all areas

32
New cards

Criterion referenced test

a test used to compare the performance of an individual to certain criteria. Measures learning of skills and mastery of learning objectives based on curriculum. May be expressed as a percent correct (80% = mastery), scores presented in categories (meet, exceed expectations), or in online courses where you must reach mastery to move to next section

33
New cards

Reliability 

the level of consistency of an instrument and the degree to which the same results are obtained when the instrument is used repeatedly with the same individuals or groups (ex. in archery target, all arrows hit the same target)

34
New cards

Theory of reliability

observed score = true score + error. Error can be reduced by using good test questions, clear instructions, and creating a proper testing environment

35
New cards

Test-retest reliability

a procedure for assessing the reliability of a test by administering the test twice to the same group of examinees and correlating the two sets of test scores (usually within 6 months of first test)

36
New cards

Test-retest reliability problems

Time consuming, experience that occurs between testing sessions can affect score, and experience of prior testing may affect subsequent score

37
New cards

Alternate-forms reliability

an approach used to assess the degree of consistency between two forms of the same test. Problem: it’s difficult to develop 2 equivalent forms

38
New cards

Internal consistency

Approach that uses scores from a single test session to measure reliability (easiest method). Includes split half method

39
New cards

Split half method

Procedure that divides items into two halves and correlates the score from one half with the other (internal consistency)

40
New cards

Validity

The degree to which an instrument measures what it is supposed to measure AND the appropriateness of specific inferences and interpretations made using test scores.

41
New cards

Content validity

Degree to which an instrument measures a representative sample of behaviors and the content of the domain about which inferences are to be made. Extent of the match between test and content it is intended to measure (does the test match the curriculum?)

42
New cards

Criterion-related validity

The degree to which an instrument is related to another measure, called criterion. Includes concurrent validity and predictive validity

43
New cards

Concurrent validity

type of criterion-related validity where the correlation between scores from an instrument is compared to the scores from another well-established instrument that measures the same thing

44
New cards

Predictive validity

type of criterion-related validity that describes the extent to which an instrument can predict some future performance (ex. driving test and driving ability)

45
New cards

Construct validity

The extent to which a test measures and provide accurate information about a theoretical trait or characteristic 

46
New cards

Face validity

The extent to which an instrument appears to measure what is it intended to measure. Sometimes we don’t want face validity to be high because we don’t want subjects knowing what’s really being tested (like in psych experiment).

47
New cards

Alternative hypothesis (H1)

Predicts a significant difference between conditions being tested (ex. Light color affects plant growth)

48
New cards

Null hypothesis (H0)

the hypothesis predicting that no difference exists between groups being compared (ex. Plant growth is not affected by light color)

49
New cards

Type I error

rejects null when null is true. (ex. boy cries wolf (rejecting null), but there is no wolf)

50
New cards

Type II error

Not rejecting null, when null is false. (ex. Boy doesn’t cry wolf (doesn’t reject null), but there is a wolf)

51
New cards

Power

rejecting the null hypothesis when alternative hypothesis is true. (ex. boy cries wolf (rejects null), and there is a wolf)