1/29
Important formulas for the physics olympiad.
Name | Mastery | Learn | Test | Matching | Spaced | Call with Kai |
|---|
No analytics yet
Send a link to your students to track their progress
Vis-viva equation
v velocity of orbiting object
r distance between orbiting bodies
a semi major axis of the orbit

Period of Orbit
T orbital period
a semi major axis

Capstan Equation
T1 smaller tension
T2 larger tension
μ coefficient of friction
θ wrap angle in radians

Euler’s Identity

Repeated Root Solution 2nd Order DE
r repeated root
note: use this if the discriminant of the characteristic equation (ar2+br+c=0) is 0. Plug in the repeated root and use initial conditions to solve.



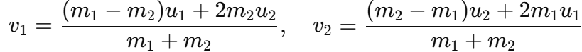
Final Velocities for Elastic Collision
u1 object one’s initial velocity
u2 object two’s initial velocity
note: v1 had the velocity initially

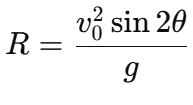
Range Formula

Maximum Height

Projectile Time

Translating & Rotating Angular Momentum
MRxV angular momentum from the orbit around origin
L angular momentum of the object around its own COM
note: MRxV accounts for the whole objects movement around the origin, L accounts for the object spinning about itself

Translating & Rotating Angular KE
½ MV² angular momentum from the orbit around origin
½ Iw² angular momentum of the object around its own COM
note: MRxV accounts for the whole objects movement around the origin, L accounts for the object spinning about itself

Reduced Mass
note: reduced mass is used for treating multiple free masses on a spring as one

Double Angle Identities

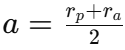
Semi Major Axis
rp periapsis
ra apoapsis
a semi-major axis

Simple Harmonic Motion Periods

Centroid of Equilateral Triangle
2/3 the height from a vertex
Triangular Spring Setup to Delta
k’=3k
k’ initial spring constant
k final spring constant
the triangle turns into a Y shape! Easier to work with
Acceleration of Rolling w/o Slipping on an Incline
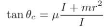
k = coefficient for rotational inertia of object

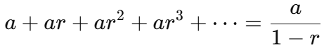
Infinite Geometric Series
a first term
r common ratio (the one increasing in power)

Critical Slip Angle for Object on Incline

COM of Polygon

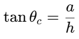
Critical Tipping Angle of Objects on Incline
a half-width
h height of com

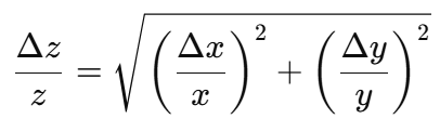
Error Propagation Sum

Error Propagation Product

Error Propagation Power

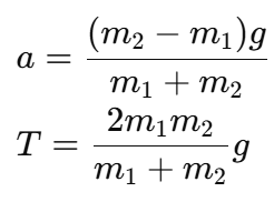
Atwood Machine Acceleration and Tension

String Property of Ellipses

Period of Physical Pendulum
d distance from pivot to COM

Coriolis Force
