1/11
Looks like no tags are added yet.
Name | Mastery | Learn | Test | Matching | Spaced | Call with Kai |
|---|
No analytics yet
Send a link to your students to track their progress
équation d’Alembert

la vitesse de propagation

la solution générale

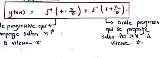
onde plane

l’expression de y(x,t)

l’expression de K

la période temporelle

la période spaciale

la forme complexe de y(x,t)

la relation de la dispertion

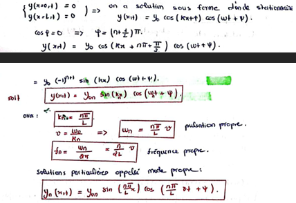
onde stationnaire

corde fixée à ses deux extrémités
