1/128
Looks like no tags are added yet.
Name | Mastery | Learn | Test | Matching | Spaced |
|---|
No study sessions yet.

In each part, a value for one of the hyperbolic functions is given at an unspecified positive number x0. Use appropriate identities to find the exact values of the remaining five hyperbolic functions at x0.

In each part, a value for one of the hyperbolic functions is given at an unspecified positive number x0. Use appropriate identities to find the exact values of the remaining five hyperbolic functions at x0.

In each part, a value for one of the hyperbolic functions is given at an unspecified positive number x0. Use appropriate identities to find the exact values of the remaining five hyperbolic functions at x0.


evaluate

evaluate

Find the exact numerical value of each expression.

Find the exact numerical value of each expression.

Find the exact numerical value of each expression.

Find the exact numerical value of each expression.

In each part, rewrite the expression as a ratio of polynomials

In each part, rewrite the expression as a ratio of polynomials

In each part, rewrite the expression as a ratio of polynomials

In each part, rewrite the expression as a ratio of polynomials


Find the following limits, and confirm that they are consistent with the graphs of the functions involved in each case.

Find the following limits, and confirm that they are consistent with the graphs of the functions involved in each case.

Find the following limits, and confirm that they are consistent with the graphs of the functions involved in each case.

Find the following limits, and confirm that they are consistent with the graphs of the functions involved in each case.


ignore



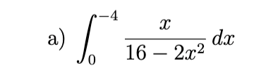
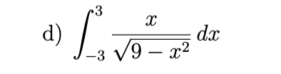
In each part, determine all values of p for which the integral is improper

In each part, determine all values of p for which the integral is improper

In each part, determine all values of p for which the integral is improper











hint:
Use the substitution u = 1 − e(-x)






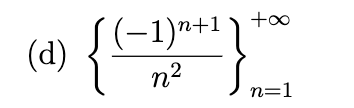
In each part, find a formula for the general term of the sequence, starting with n = 1

In each part, find a formula for the general term of the sequence, starting with n = 1

In each part, find a formula for the general term of the sequence, starting with n = 1

In each part, find a formula for the general term of the sequence, starting with n = 1

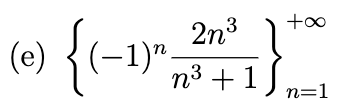
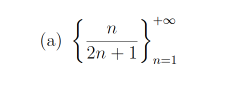
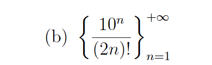
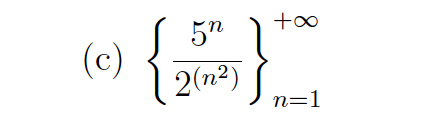
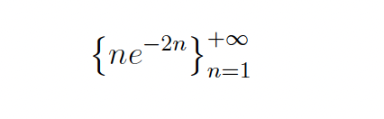
Write out the first five terms of the sequence, determine whether the sequence converges, and if so find its limit.

Write out the first five terms of the sequence, determine whether the sequence converges, and if so find its limit.

Write out the first five terms of the sequence, determine whether the sequence converges, and if so find its limit.

Write out the first five terms of the sequence, determine whether the sequence converges, and if so find its limit.

Write out the first five terms of the sequence, determine whether the sequence converges, and if so find its limit.

Write out the first five terms of the sequence, determine whether the sequence converges, and if so find its limit.

Write out the first five terms of the sequence, determine whether the sequence converges, and if so find its limit.

Write out the first five terms of the sequence, determine whether the sequence converges, and if so find its limit.



Use the difference a(n+1) − an to show that the given sequence {an} is strictly increasing or
strictly decreasing.

Use the difference a(n+1) − an to show that the given sequence {an} is strictly increasing or
strictly decreasing.

Use the ratio an+1/an to show that the given sequence {an} is strictly increasing or strictly
decreasing.

Use the ratio an+1/an to show that the given sequence {an} is strictly increasing or strictly
decreasing.

Use the ratio an+1/an to show that the given sequence {an} is strictly increasing or strictly
decreasing.

Use differentiation to show that the given sequence is strictly increasing or strictly decreasing


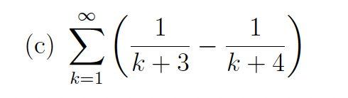
In each part, find exact values for the first three partial sums, find a closed form for the nth
partial sum, and determine whether the series converges by calculating the limit of the nth
partial sum. If the series converges, then state its sum.

In each part, find exact values for the first three partial sums, find a closed form for the nth
partial sum, and determine whether the series converges by calculating the limit of the nth
partial sum. If the series converges, then state its sum.

In each part, find exact values for the first three partial sums, find a closed form for the nth
partial sum, and determine whether the series converges by calculating the limit of the nth
partial sum. If the series converges, then state its sum.

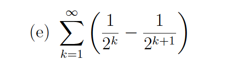
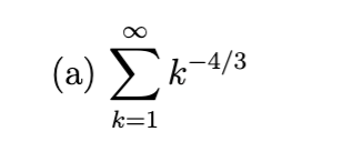
In each part, determine whether the series converges or diverges. If the series converges,
then state its sum.

In each part, determine whether the series converges or diverges. If the series converges,
then state its sum.

In each part, determine whether the series converges or diverges. If the series converges,
then state its sum.

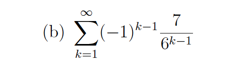
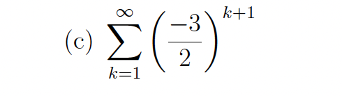
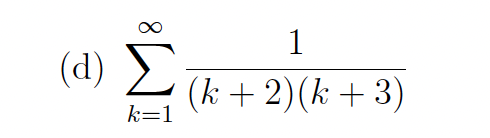
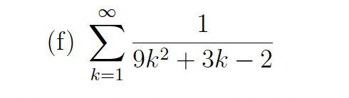
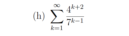
Determine whether the series converges, and if so find its sum

Determine whether the series converges, and if so find its sum

Determine whether the series converges, and if so find its sum

Determine whether the series converges, and if so find its sum

Determine whether the series converges, and if so find its sum

Determine whether the series converges, and if so find its sum

Determine whether the series converges, and if so find its sum

Determine whether the series converges, and if so find its sum

Determine whether the series converges, and if so find its sum

Express the repeating decimal as an irreducible fraction.

Express the repeating decimal as an irreducible fraction.
A ball is dropped from a height of 10 m. Each time it strikes the ground it bounces vertically
to a height that is 3/4 of the preceding height. Find the total distance the ball will travel if
it is assumed to bounce infinitely often.
















