1/59
Looks like no tags are added yet.
Name | Mastery | Learn | Test | Matching | Spaced | Call with Kai |
|---|
No analytics yet
Send a link to your students to track their progress
generalisation
The ability of a machine learning model to perform well on unseen data, reflecting its capacity to apply learned patterns to new inputs
Association learning
A type of machine learning where the model discovers relationships between variables in large datasets.
Computational
Level of analysis that identifies what is the goal of model
Algorithmic
Level of analysis that looks at how the model’s goal can be acheived
Implementational
Level of analysis that focuses on the physical realization of the model, including hardware and software requirements.
Sum Rule

Product Rule
Product Rule | ![]() |
Bayes Rule

Chain Rule


Binomial

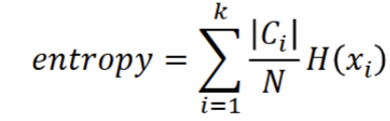
Entropy

Naive Bayes

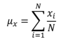
Sample mean

Sample Standard Deviation

Accuracy

Error Rate

Error Rate Reduction

Precision

Recall

Sensitivity

Specificity

F1 Score

Macro Averaging

Micro Averaging

Weighted Averaging

Mean Information

Information Gain

Gain Ratio

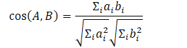
Cosine Similarity

Inverse Linear Distance

Inverse Distance

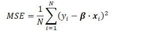
Mean Squared Error

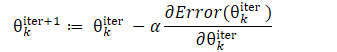
Gradient Descent

Root Mean Squared Error

Root Relative Squared Error

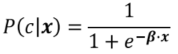
Sigmoid

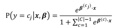
Multinomial Log Regression for non-pivot

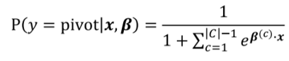
Multinomial Log Regression for pivot

Pointwise Mutual Information

Mutual Information

Expected value

Chi-Squared

Bias

Variance

Hyperbolic tan

ReLU

Cross-Entropy Loss

Soft max

Log-likelihood

Kernel Density Estimate

Cohesion

Separation

Sum of Squared Errors

Purity

Entropy (unsupervised)

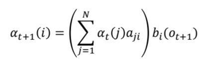
Viterbi Algorithm inductive step

Forward Algorithm inductive step

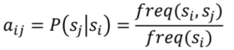
Transition probability approximation

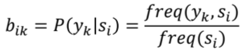
Observation probability approximation

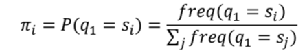
Initial state approximation
