1/40
Looks like no tags are added yet.
Name | Mastery | Learn | Test | Matching | Spaced | Call with Kai |
|---|
No analytics yet
Send a link to your students to track their progress
Capacitance
Is measured in Farads F
Formula for calculating parallel capacitance

Inductance
Affects a DC circuit only when the circuit is first turned on, turned off, and when there is a change in the load resistance
Ballast
A common inductor found in a fluorescent light
Inductor
A coil that opposses any change in current flow "chokes"

Electromagnetic devices
Solenoid, motor, buzzer, and relay
Total series inductance formula

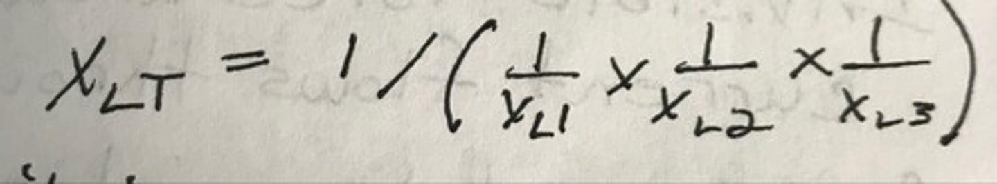
Total parallel inductive reactance

Effects of a capacitor in the DC circuit
1. Charge to a voltage equal to the source voltage 2.Since the dialectic is an insulator and the voltage potential across the capacitor is equal to the source, A charge capacitor ask like an open and will not allow current to flow in the circuit
Solid-state, time-delay relay
A time delay relay that uses a RC timing circuit(resistor capacitor)
electrostatic charge
Energy stored by a capacitor
Total series capacitive reactance formula

Inductive Reactance
Resistance provided by a inductor in a AC circuit
Inductance
Measured in Henry's H
In a power supply that converts a AC input to generate a DC output, a capacitor is commonly used to
Filter the rectifiers Pulsating DC output
Three types of capacitors
Non-polarized, polarized or electrolytic, variable
Electromagnetism
Concept of a magnetic field being formed around a conductor when current flows through
Capacitive Reactance
Apparent resistance to AC by a capacitor
Magnetic field
Invisible force around a wire that is created when current flows through it
Soleniod
Electromagnetic device that is used most often to produce a linear motion
Relay
Consist of switch contacts and coil
Inductance
The resistance to changes in current flow
Inductance
Since the standard unit for inductance is fairly large it is usually listed and Millihenrys
Electromagnetic field
Exists around a inductor, the strength of which is proportional to the steady-state of current level
Inductive reactance formula
Uses the letter f for frequency
Capacitance
Basic Unit of measure is Farad
Variable capacitors
Can be adjusted by turning a knob
Inside a capacitor
Two plates are separated by the dielectric
Electrolytic capacitors
Must be connected with respect to polarity
Dielectric
A non-conducting material between the plates of a capacitor
In a DC circuit
A capacitor blocks the current
Capacitive Reactance
Unit of measure is ohms
In a AC circuit, a higher frequency
Means a lower capacitive reactance
Capacitive Reactance
Apparent resistance in a capacitor
A short term Power Supply
A charged capacitor
The charge, discharge time of an RC timing circuit
Is 5 times the RC time constant
A RC timing circuit is often used
In time-delay relays to achieve the right time delay
Ballast
One of the components in a fluorescent light fixture is a type of inductor
A inductor can be added to a filter
To smooth out the ripple in power supply outputs
Rectifier
The device that converts AC voltage to pulsating DC
Capacitor
Device that stores electrical energy. C
