1/36
Looks like no tags are added yet.
Name | Mastery | Learn | Test | Matching | Spaced | Call with Kai |
|---|
No analytics yet
Send a link to your students to track their progress
HX
HBr/ROOR
-Regios, Stereo, intermediate, Rearrange
Hydrohalogenation
-HX-Mark, none, carbocat, possible
-HBr/ROOR, Anti Mark
-none
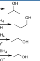
H3O^+ (dil. H2SO4)
1.) Hg(OAc)2, H2O
2.) NaBH4
1.) BH3 * THF
2.) H2O2, NaOH
Regios, Stereo, intermediate, Rearrange
Hydration
(adds H & OH)
-Mark, none, carbocat, possible
-Mark, anti, merconium, no
-AntiMark, syn triakyl borane, no
-ROH, H^+ (usually H2SO4)
1.) Hg(OAc)2, ROH
2.)NaBH4
Regios, Stereo, intermediate, Rearrange
Alcohol Addition
(adds H and OR)
-Mark, none, carbocat, possible
-Mark, anti, mercurinium ion, no
H2/Cat (Pt, Pd, Ni)
Catalytic Hydrogenation
(add H and H)
syn addition, no rearrangement
(Br2 or Cl2) / (CCl4, CH2Cl2)
Halogenation
(add X and X)
-anti, halnoium int., no re
-X2/ H2O
-X2/ ROH
Regios, Stereo, intermediate, Rearrange
Halohydrin Formation
(add X and OH/OR)
-mark, anti, halonium, no
-mark, anti, halonium, no
1.) RCO3H (usually MCPBA)
2.) H3O+
1.) OsO4
2.)NaHSO3 or Na2SO3
-KMnO4/NaOH
Dihydroxylation
(add OH and OH)
-anti, epoxide, no
-syn, cylic osmate ester, no
-syn, cyclic manganate ester, no









Hydrohalogenation (HCl, HBr, HI)


Hydroboration with Peroxide


Halogenation (Br2 or Cl2)


Acid-Catalyzed Hydration of a Terminal Alkyne


Hydroboration-Oxidation of a Terminal Alkyne


Hydration of an Internal Alkyne


Ozonolysis of an Internal Alkyne


Ozonolysis of a Terminal Alkyne


Alkylation of Acetylide Ions


Free Radical Bromination (High selectivity)


Free Radical Chlorination (low selectivity)


Allylic/ Benzylic Bromination


Acid Catalyzed cleavage of Ethers


Epoxidation with a Peroxyacid


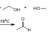
Ozonolysis Under Reducing Conditions


Hydration of a Terminal Alkyne (Mark)


Hydration of a Terminal Alkyne (Anti-Mark)


Hydration of an Internal Alkyne


Sodium Borohydride


Hydride Reduction


Ozonolysis of Alkenes under Oxidizing of Alkynes


Ozonolysis


Reduction


Hydride Reduction


Hoffman Rearrangement


GrignardsAddition
