1/4
SN1 polar protic SN2 polar aprotic
Name | Mastery | Learn | Test | Matching | Spaced | Call with Kai |
|---|
No analytics yet
Send a link to your students to track their progress

methyl, 1°, 2° alkyl halide
SN2
less steric bulk

3° alkyl halide
SN1
no carbocation formation; steric prevent sn2

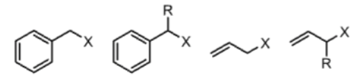
1° or 2° benzyl or allyl halide
SN1 or SN2
stabilizes thru resonance: carbocation (sn1) transition state (sn2)

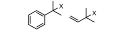
3° benzyl or allyl halide
SN1
stabilized thru resonance carbocations

aryl or vinyl halide
neither
sp2 carbon