Wzory kwasy nukleinowe

0.0(0)
studied byStudied by 0 people
0.0(0)
full-widthCall Kai
learnLearn
examPractice Test
spaced repetitionSpaced Repetition
heart puzzleMatch
flashcardsFlashcards
GameKnowt Play
Card Sorting

1/16

flashcard set

Earn XP

Description and Tags

wejściówka

Study Analytics
Name
Mastery
Learn
Test
Matching
Spaced

No study sessions yet.

17 Terms

1
New cards
Podaj nazwę
Podaj nazwę
Adenina
2
New cards
Podaj nazwę
Podaj nazwę
Guanina
3
New cards
Podaj nazwę
Podaj nazwę
Hipoksantyna
4
New cards
podaj nazwę
podaj nazwę
Ksantyna
5
New cards
Podaj nazwę
Podaj nazwę
Cytozyna
6
New cards
Podaj nazwę
Podaj nazwę
Uracyl
7
New cards
Podaj nazwę
Podaj nazwę
Tymina
8
New cards
Podaj nazwę
Podaj nazwę
β-ryboza
9
New cards
Podaj nazwę
Podaj nazwę
β- deoksyryboza
10
New cards
Podaj nazwę
Podaj nazwę
Adenozyna
11
New cards
Podaj nazwę
Podaj nazwę
Urydyna
12
New cards
Podaj nazwę
Podaj nazwę
Adenozyno-5'-monofosforan (5’-AMP)
13
New cards
Podaj nazwę
Podaj nazwę
Adenozyno-3'-monofosforan (3’-AMP)
14
New cards
Podaj nazwę
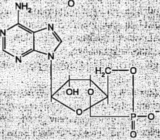
Podaj nazwę
Cykliczny Adenozyno-3',5’-monofosforan (3’,5’-AMP)
15
New cards
Podaj nazwę
Podaj nazwę
Urydynotrifosforan (UTP)
16
New cards
Podaj nazwę
Podaj nazwę
Urydynodifosforan (UDP)
17
New cards
Podaj nazwę
Podaj nazwę
5’- Inozynomonofosforan (5’-IMP)