CH13 LEC: ALKENES, ALKYNES, AROMATICS

0.0(0)
studied byStudied by 0 people
0.0(0)
full-widthCall Kai
learnLearn
examPractice Test
spaced repetitionSpaced Repetition
heart puzzleMatch
flashcardsFlashcards
GameKnowt Play
Card Sorting

1/98

flashcard set

Earn XP

Description and Tags

OSU BIOPHRM 3311

Study Analytics
Name
Mastery
Learn
Test
Matching
Spaced

No study sessions yet.

99 Terms

1
New cards

alkene definition

unsaturated hydrocarbon w/ at least 1 C=C

2
New cards

Alkenes are able to undergo which reaction and why?

addition rxns due to C=C presence

3
New cards

alkenes are ___ reactive than alkanes

more

4
New cards

alkenes general molecular formula

CnH2n

5
New cards

alkene suffix

-ene

6
New cards

what is the smallest alkene

ethene (C2H4)

7
New cards

alkyne definition

unsaturated hydrocarbon molecules with at least 1 C≡C

8
New cards

alkynes general molecular formula

CnH2n-2

9
New cards

alkyne suffix

-yne

10
New cards

smallest alkyne

ethyne (C2H2)

11
New cards

benzene is the ___ compound of the large ___ family of compounds

  • parent

  • aromatic

12
New cards

benzene compound description

contains 6-membered ring, C or other atoms, w/ alternating single and double bonds

13
New cards

heterocyclic aromatic compounds definition

  • when elements, other than C, are also members of a ring structure

    • also called heterocycle rings or heterocyclic compounds

14
New cards

5 nucleotide bases

  • adenine, guanine, cytosine, thymine, uracil

15
New cards

nucleotide bases purpose

form components of DNA & RNA

16
New cards

2 categories of nucleotide bases

  • pyrimidines

  • purines

17
New cards

pyrimidines definition

a single 6-membered ring (2 Cs replaced by 2 Ns)

18
New cards

purines definition

pyrimidine ring fused to a 5-membered ring

19
New cards
<p>recognize this structure</p>

recognize this structure

purine (parent)

20
New cards
<p>recognize this structure</p>

recognize this structure

adenine (A) (DNA, RNA)

21
New cards
<p>recognize this structure</p>

recognize this structure

guanine (G) (DNA, RNA)

22
New cards
<p>recognize this structure</p>

recognize this structure

pyrimidine (parent)

23
New cards
<p>recognize this structure</p>

recognize this structure

cytosine (C) (DNA, RNA)

24
New cards
<p>recognize this structure</p>

recognize this structure

thymine (T) (DNA, some RNA)

25
New cards
<p>recognize this structure</p>

recognize this structure

uracil (U) (RNA)

26
New cards

3 amino acid sidechains

  • phenylalanine, tryptophan, tyrosine

    • also called: aromatic amino acids

27
New cards
<p>recognize this structure</p>

recognize this structure

general amino acid structure

28
New cards

amino acid links to ___ from a central C

4 groups

29
New cards

what determines the key characteristics of an amino acid?

the sidechain

30
New cards
<p>recognize this structure</p>

recognize this structure

phenylalanine

31
New cards
<p>recognize this structure</p>

recognize this structure

tyrosine

32
New cards
<p>recognize this structure</p>

recognize this structure

tryptophan

33
New cards

what is the relationship b/t tyrosine and phenylalanine?

tyrosine is derived from phenylalanine — making these two interchangeable to some degree in proteins and metabolism

34
New cards

why can you not add more Hs to a benzene ring?

b/c there is only 1.5 e- in the double bond

35
New cards

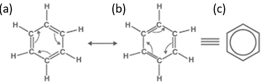
resonance structures of benzene

  • the e- are delocalized or shared throughout the ring structure — across the single & double bonds

  • contributes to increased stability, resulting in lower reactivity

  • can exist as 2 structures, A. and B., and written as C.

<ul><li><p>the e- are delocalized or shared throughout the ring structure — across the single &amp; double bonds</p></li><li><p>contributes to increased stability, resulting in lower reactivity</p></li><li><p>can exist as 2 structures, A. and B., and written as C.</p></li></ul><p></p>
36
New cards

saturated molecule definition

  • all Cs are linked together by only single bonds

  • each C bonds to 4 groups

  • no more Hs can be added

37
New cards

unsaturated molecule definition

  • contains one or more double or triple bonds

  • addition Hs can be incorporated, leading to conversion of a multiple bond to a single bond

    • every time you make a C=C, 2 Hs are removed

38
New cards

Addition rxn definition

for unsaturated hydrocarbons, more Hs can be added to multiple bonds to form single bonds and saturated hydrocarbons

39
New cards

in naming alkenes and alkynes, number the chain starting from ___.

the end closer to the multiple bond

40
New cards

in naming alkenes and alkynes, use the ___ to indicate the location of the functional groups

smaller number

41
New cards

in naming alkenes and alkynes, the longest chain chosen for the root name must include ___.

both C atoms of the double/triple bond, even if the chain is longer w/out — you choose the shorter chain that includes these bonds

42
New cards

in naming alkenes and alkynes, if a double/triple bond and an alkyl substituent are both present, the ____ has the lowest number.

alkene/alkyne group

  • priority to family name first, then to the substituent

43
New cards

in naming alkenes and alkynes, if the double/triple bond is equal distance from each end, number so the ___ has the lowest number.

1st substituent

44
New cards

in naming alkenes and alkynes, if more than one double/triple bond is present, indicate their position by using the ___.

number of the 1st C of each bond, and use the suffix — -diene, triene, tetraene, diyne, triyne, tetrayne, etc.

45
New cards

trivial or common names definition

informal names given to compounds that are often simpler and more user friendly than their IUPAC names

46
New cards

Common name of ethene (H2C=CH2)

Ethylene

47
New cards

common name of propene (CH3CH=CH2)

propylene

48
New cards

common name of ethyne (HC≡CH)

acetylene

49
New cards

cycloalkenes definition

hydrocarbons that contain 1 or more C=C in a ring

50
New cards

in naming cycloalkenes, number the double bond Cs ___, and the 1st substituent has ___.

  • 1 & 2

  • the lowest possible number

51
New cards

in naming cycloalkenes, if there is an alkyl substituent on one of the C=C, that C is ___.

  • #1

  • NOTE: sometimes this can lead to a deviation from the Lowest Sum Rule, and you end up choosing the larger sum b/c the positioning is prioritized. (see pic for example)

<ul><li><p>#1</p></li><li><p><em>NOTE: sometimes this can lead to a deviation from the Lowest Sum Rule, and you end up <u>choosing the larger sum</u> b/c the positioning is prioritized. (see pic for example)</em></p></li></ul><p></p>
52
New cards

in naming aromatic compounds w/ 1 substituent, substituted benzenes are named using the substituent as ___.

the prefix followed by -benzene as the parent. no number is needed for mono-substituted benzenes b/c it is always 1.

53
New cards
<p>recognize this structure by its common &amp; IUPAC name</p>

recognize this structure by its common & IUPAC name

  • common name: toluene

  • IUPAC: methylbenzene

54
New cards
<p>recognize this structure by its common &amp; IUPAC name </p>

recognize this structure by its common & IUPAC name

  • common name: phenol

  • IUPAC: hydroxybenzene

55
New cards
<p>recognize this structure by its common &amp; IUPAC name</p>

recognize this structure by its common & IUPAC name

  • common name: aniline

  • IUPAC: aminobenzene

56
New cards

ortho (o) definition

indicates position of 2 substituents on benzene ring: 1,2— (2 substituents next to each other)

57
New cards

meta (m) definition

indicates position of 2 substituents on benzene ring: 1,3— (separated by one carbon)

58
New cards

para (p) definition

indicates position of 2 substituents on benzene ring: 1,4— (across from each other on the ring)

59
New cards

phenyl group definition

what benzene rings are called when they act as a substituent group attached to another parent compound

60
New cards

conformers arise from what?

unrestricted rotation around a C—C single bond

61
New cards

T/F: 2 molecules having the same structure do not always have the same IUPAC name.

False; they always do

62
New cards

in cis— or trans— structures, the C=C is ___ and cannot be ___.

  • rigid

  • rotated unless by breaking the double bond

63
New cards
<p>know this is cis and which is a trans structure</p>

know this is cis and which is a trans structure

knowt flashcard image
64
New cards

another name for cis-trans isomer

geometric isomer

65
New cards

cis means ___ side.

same

66
New cards

trans means ___ side.

opposite

67
New cards

cis shape

bent

68
New cards

trans shape

more linear

69
New cards

When one of the C=C is bound to the ___, cis-trans isomerism is impossible.

same group

70
New cards

cis-isomer definition

when identical or larger groups are on the same side of the C=C

71
New cards

trans-isomer definition

when identical or larger groups are on the opposite sides of C=C

72
New cards

the formation of cis-trans isomers in alkenes depends upon the___.

groups bound to C=C

73
New cards

alkenes w/ —C=CH2 ___ as cis-trans isomers

do not exist

74
New cards

alkenes w/ —C=CR2, where the R-groups are identical, ____ as cis-trans isomers

do not exist

75
New cards

what are the five major reactions

addition, elimination, substitution, rearrangement, oxidation & reduction

76
New cards

addition reaction definition

a reaction X—Y is added to the multiple bond of an unsaturated reactant to yield a saturated product

77
New cards

name this reaction: 2 reactants form 1 product

addition rxn

78
New cards

elimination reaction definition

saturated reactant yields an unsaturated product by losing a group from each of the 2 adjacent Cs; forming a double bond in place of a single bond

79
New cards

name this reaction: 1 reactant forms 2 products

elimination reaction

80
New cards

why type of reaction is a dehydration reaction?

elimination reaction

81
New cards

dehydration reaction definition

removal of H2O

82
New cards

what is this reaction: alcohol → alkene + water

elimination reaction: dehydration of alcohols

83
New cards

substitution reaction definition

an atom or group of atoms in a molecule is replaced by another atom or group of atoms in a molecule

84
New cards

name this reaction: 2 reactants form 2 products

substitution reaction

85
New cards

a common substitution rxn of alkanes is ___.

halogenation

86
New cards

rearrangement reaction definition

type of o-chem rxn in which the structure of a molecule is reorganized to form a new isomer. the atoms/groups shift to different connectivity / positions w/out adding or removing any atoms. 

87
New cards

name this reaction: 1 reactant forms 1 product

rearrangement reaction

88
New cards

the reactants and products of a rearrangement reaction are ___.

constitutional isomers

89
New cards

oxidation reaction definition

addition of O atom(s) OR removal of H atom(s)

90
New cards

reduction reaction definition

removal of O atom(s) OR addition of H atom(s)

91
New cards

due to the presence of multiple bonds, alkenes and alkynes are ___ than related alkanes

more reactive

92
New cards

the most common rxns involving C-C multiple bonds are ___.

addition reactions

93
New cards

common addition rxns involving C—C multiple bonds

  • hydrogenation

  • halogenation

  • hydrohalogenation

  • hydration

94
New cards

benzene doesn’t undergo ___ b/c that would necessitate disrupting its delocalized e- system, resulting in a loss of its inherent stability

addition reactions

95
New cards

hydrogenation reaction definition

H is added to a multiple bond yielding a saturated product

  • alkenes and alkynes react w/ H to yield alkanes

96
New cards

halogenation reaction definition

the addition of a halogen (Cl2, Br2, etc.) to an alkene yields a dihaloalkane

97
New cards

hydrohalogenation reaction definition

alkenes react w/ hydrogen halides (HBr, HCl, etc.) to yield alkyl halides (IUPAC haloalkanes)

98
New cards

hydration reaction definition

alkenes react w/ H2O to yield alcohols

99
New cards

Markovniko’s Rule

in the addition of H—X (such as HBr, HCl, or H2O) to an asymmetrical alkene, the H will add to the C of the double bond that already has the greater number of Hs, while the X will add to the C w/ fewer Hs.