1/22
Looks like no tags are added yet.
Name | Mastery | Learn | Test | Matching | Spaced | Call with Kai |
|---|
No analytics yet
Send a link to your students to track their progress

k = 1000
Crude Death Rate (CDR) formula

k = 100,000
Cause-Specific Death Rate formula

k = 100, 000
Age-Specific Death Rate formula

k = 100, 000
Sex-Specific Death Rate formula

k = 100
Cause-Specific PMR formula

k = 100
Age-Specific PMR formula

k = 100
Swaroop’s Index (special PMR)

k = 1000
Infant Mortality Rate (IMR) Common formula

Infant Mortality Rate (IMR) Absolute formula

k = 1000
Neonatal Mortality Rate (NMR) formula

k = 1000
Post-Neonatal Mortality Rate formula

k = 1000
Fetal Death Ratio (Stillbirth Rate) formula

k = 100, 000
Maternal Mortality Rate (MMR) formula

k = 100
Case Fatality Rate (CFR) formula

Crude Birth Rate (CBR) formula
1.645
90 % =
1.96
95 % =
2.58
99 % =
n = (ZS/E)2
Means formula
n = N ÷ (1+Ne2)
General: Slovin's Formula
n = Z2 pq/ E2
Proportions formula:
n = pc (100 - pc) Z2/ E2
Percentiles formula:

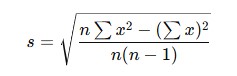
standard deviation formula