1/29
Looks like no tags are added yet.
Name | Mastery | Learn | Test | Matching | Spaced | Call with Kai |
|---|
No analytics yet
Send a link to your students to track their progress

efavirenz

nevirapine

delaviridine

rilpivirine

Doravirine

raltegravir

Elvitegravir

Dolutegravir

cabotegravir

Bictegravir

ritonavir

Cobicistat

atazanavir

Darunavir

list the drugs from left to right
dont need to know specifics except that they all act on the _____ cascade
Maraviroc
Fostemsavir
Enfuviride
cell fusion

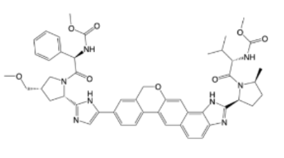
lenacapavir

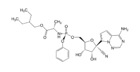
islatravir

which fixed dose regimen is made up by these components?
Biktarvy
(bictegravir , emtricitabine, tenofavir alafenamide)

which fixed dosed combination is shown?
Dovato
(dolutegravir + lamivudine)

which fixed dosed combination is shown?
Delstrigo
(doravirine, lamivudine, tenofovir disoproxil fumarate)

which fixed dosed combination is shown?
Cabenuva
(cabotegravir, rilpivirine)

daclatasvir

pibrentasvir

velpatasvir

ledipasivir

which fixed dose combination therapy is shown?
Harvoni
(sofosbuvir + ledipasivir)

which fixed dose combination therapy is shown?
Epclusa

which fixed dose combination therapy is shown?
Mavyret
glecaprevir + pibrentasvir

which is on the left and which is on the right?
Paxlovid
left= nirmatrelvir
right= ritonavir

remdesivir