1/11
Looks like no tags are added yet.
Name | Mastery | Learn | Test | Matching | Spaced | Call with Kai |
|---|
No analytics yet
Send a link to your students to track their progress
Epsiloid (equation)

Epsiloid (graph)

Elliptical Paraboloid (equation)

Elliptical Paraboloid (graph)

Hyperbolic Paraboloid (equation)

Hyperbolic Paraboloid (graph)

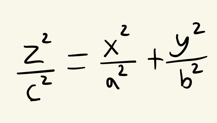
Cone (equation)

Cone (graph)

Hyperboloid of One Sheet (equation)

Hyperboloid of One Sheet (graph)

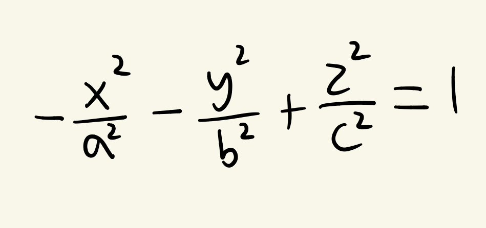
Hyperboloid of Two Sheets (equation)

Hyperboloid of Two Sheets (graph)
