1/18
Looks like no tags are added yet.
Name | Mastery | Learn | Test | Matching | Spaced | Call with Kai |
|---|
No analytics yet
Send a link to your students to track their progress

GABA (a) Receptor

Alprazolam (Xanax) - Ring-fused BZDs for anxiety and sedation

Midazolam (Versed) - Ring-fused BZDs for anxiety and sedation

Chlordiazepoxide (Librium) - Long Lasting 1st gen

Diazepam (Valium) - Long Lasting 1st gen

Lorazepam (Ativan) - Shorter action hydroxylated

Oxazepam (Serax) - Shorter acting hydroxylate

Clobazam - BZDs Also used in seizures

Clonazepam (klonopin) - BZDs also used in seizures

Clorazepate (Traxene) - BZDs also used in seizures

Estazolam - BZDs used as hypnotics

Flurazepam (Dlamane) - BZDs used as hypnotics

Quazepam (Doral) - BZDs used as hypnotics

Temazepam (Restoril) - BZDs used as hypnotics

Triazolam (Halclon) - BZDs used as hypnotics

General Structure of the BZDs - 5-phenyl-1,4-benzodiazepine

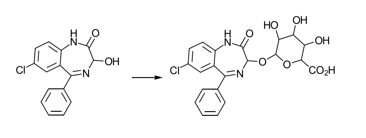
what’s the metabolism and which phase is shown in this figured?
Glucuronidation, Phase 2

Eszopiclon (Lunesta) - (S) isomer of Zopiclone

Zolpidem (Ambien)