1/44
Name | Mastery | Learn | Test | Matching | Spaced | Call with Kai |
|---|
No analytics yet
Send a link to your students to track their progress
Alkane

Alkane

Alkane

Alkane

Alkane

Alkane

Alkane

Alkane

Alkane
C8H18 (Octane)
Alkane
C3H8 (Propane)
Alkene

Alkene

Alkyne

Aromatic Compounds

Alcohols

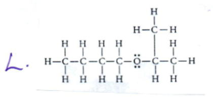
Ether

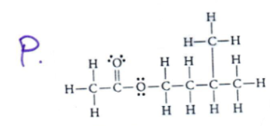
Aldehydes

Ketones

Ketones

Carboxylic Acid

Ester

Ester

Amines

Amide

Alkane

Aldehyde

Amide

Alkene

Amide

Carboxylic Acid

Alcohol

Alkyne

Ketone

Ketone

Amine

Ether

Alkane

Amide

Carboxylic Acid

Alcohol

Ester

Ester

Alkene
Aldehyde

Ether