1/10
Looks like no tags are added yet.
Name | Mastery | Learn | Test | Matching | Spaced | Call with Kai |
|---|
No analytics yet
Send a link to your students to track their progress
When the geometric multiplicity is ____ than the algebraic multiplicity of this eigenvalue. The next best thing to an eigenvector is often referred to as a “____ eigenvector”.
less
generalized
Generalized vector v2: Solve
Generalized vector v3 (if algu was 3 but gemu only 1): Solve
Augmented matrix [λI - A | -v1]
Augmented matrix [λI - A | -v2]
![<p>Augmented matrix [λI - A | -v1]</p><p>Augmented matrix [λI - A | -v2]</p>](https://assets.knowt.com/user-attachments/f575aab8-924a-4e6a-afcd-6049e78d1d0c.png)
Jordan canonical form of a matrix
1’s above the diagonal appear when there are not enough ____
eigenvectors

Any matrix A with all real eigenvalues is similar to a matrix in ____ form.
If A and B are similar matrices, they necessarily have the same Jordan canonical forms.
Jordan canonical

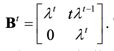
Bt =

Stability and powers of a matrix (discrete linear dynamical systems)
x(t+1) = A x(t), x(t) = ATx0
If all eigenvalues of A satisfy |λi| < 1, then all discrete trajectories will tend toward __. Such a system is called a ____ system.
If even one eigenvalue has |λi| > 1, then for almost all initial states x(0), the trajectories will ____ without bound. Such a system is called an ____ system.
If there are complex conjugate pairs of eigenvalues, then trajectories in the invariant 2-dimensional subspace associated with that pair will exhibit ____.
If the modulus of the eigenvalues is greater than 1, the trajectory spirals ____.
If the modulus is less than 1, the trajectory spirals ____.
If the modulus equals 1, the trajectory moves around an ____ in that invariant plane.
0, stable
grow, unstable
rotation
outward
inward
ellipse
A real n × n matrix A is called orthogonally diagonalizable if there exists an _______ for R^n consisting of _____ of the matrix A.
orthonormal basis, eigenvectors
Spectral Theorem: A real n × n matrix A is orthogonally diagonalizable if and only if A is ____.
the matrix of any ____ or ____ must necessarily be symmetric
symmetric (A = AT)
orthogonal projection, reflection
How to find an an orthonormal basis of eigenvectors.
find eigenvalues
find eigenvectors
If eigenvalue has gemu = 1, ____ its eigenvector into a unit vector for v1
If eigenvalue has gemu = 2, choose the first normalized vector as v2. Take the _____ to find v3 then normalize it too
S = ___ S-1 = ____
normalize
general eigenvector (with variables) • v2 = 0
[v1…vn], ST
Dynamical systems with complex eigenvalues
x(t+1) = A x(t), λ1,2= p ± iq = r (cosθ ± isinθ)
Let v+iw be eigenvector for λ p + iq
Then x(t)=

Dynamical systems with complex eigenvalues x(t) formula procedure
find eigenvalues (in complex form a±bi)
let r=√(a²+b²) and a±bi → ____
Find θ then let Rtθ= ____
For eigenvalue a+bi find kernel basis
Let w = [x y] and solve ___
choose convenient values of x & y to get eigenvector in form ___
Let S = ___
Solve x(t) = ___
r (cosθ ± isinθ)
[cos(tθ) sin(tθ) -sin(tθ) cos(tθ)]
[detλI-A] [w] = 0
u+iv
[ v u ]
rt S Rtθ S-1 x0