1/58
Looks like no tags are added yet.
Name | Mastery | Learn | Test | Matching | Spaced | Call with Kai |
|---|
No analytics yet
Send a link to your students to track their progress
the protein core of a glycogen molecule is
a glycogenin protein

which cell types store glycogen
muscles
liver
only either ____ or ___ can occur at a time
glycolysis or gluconeogenesis
substrate for generating glycogen
glucose-1-phosphate
this is what comes off as glucose are removed and simultaneously P’d as glycogen phosphorylase cleaves them during glycogenolysis
what makes glycogen such a good storage molecule
its highly branched structure allows for glucose molecules to be removed from it at many different ends at once
average length of a glycogen branch
13 glucose residues
the liver secretes
glucose from glycogen breakdown into the bloodstream
can our bodies convert fat to glucose or early glycolysis intermediates?
no
thats why glycogen is helpful as a storage unit
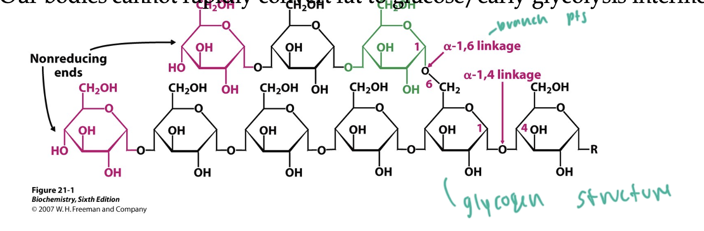
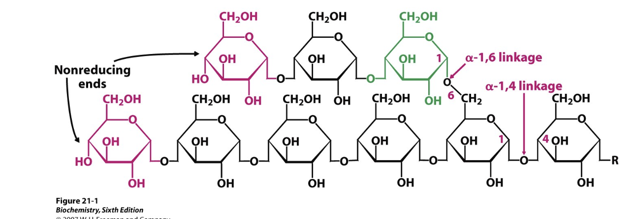
glycogen structure
alpha(1,6) links at branch points
alpha(1,4) links within a single strand between glucose molecules

see how glycogen branches out from the center glycogenin

why are FAs more energy rich than glycogen?
since FAs have more reduced C-C bond
functions of glycogen
maintains blood-glucose levels between meals
keeps the brain supplied with glucose (except when starving)
provides energy for sudden strenuous activity
can provide energy in the absence of oxygen
many ____ surround glycogen molecules in cells
water
“well-fed hormone”
insulin
“hunger hormone”
glucagon
epinephrine
favors glycogenolysis
fight or flight hormone
glucose molecules are removed from the glycogen’s ____ ends
nonreducing

initiation of glyconeogenesis when blood glu is high
glucose enters a cell and gets P’d to glucose-6-phosphate by hexokinase so it can stay in the cell
glucose-6-phosphate gets converted to glucose-1-phosphate by phosphoglucomutase
P’d Ser of phosphoglucomutase gives its P to the C6 of glucose-1-phosphate then the same Ser takes the P from the C1 of glucose, yielding glucose-6-phosphate

the formation of glycosidic linkages during glycogenesis is
endergonic
so must be coupled with an exergonic rxn (UTP hydrolysis)
formation of glycosidic bonds during glycogenesis
a sugar phosphate breaks the phsophoanhydride bond between the first and second P of UTP, yielding 2 Ps together and a sugar phosphate on the UMP
now the sugar-phosphate-UMP has energy to attach to things
the 2 P cleaves into 2 Pi
so net rxn is
sugar-P + UTP —> UDP-sugar + 2Pi
the rxn is driven by the removal of the 2 pi by other rxns

UDP-sugar
uridine diphosphate glucose
has 2 phosphoryl bonds, so is highly energized

UDP-glucose can be
formed into glycogen by glycogenin, glycogen synthase, and branching enzyme
glycogenin is a
dimer
nucleates into glycogen
initiation of glycogenesis (step 1)
glycogenin has a Tyr side chains where growth nucleates from
glucosyltrasnferase activity of glycogenin transfers the glucose from UDP-glucose onto the glycogenin
the C1 of the glucose adds onto the OH of the Tyr of glycogenin
now the glucose’s nonreducing end points out for other glucose to add onto it
chain extending activity occurs (catalyzing alpha (1,4) linkages to add more glucose of oyther UDP-glucose on) until 6 more glucose have been added, since the glycogenin active site can only hold 6-7 sugars

how many sugars/glucose can the active site of glycogenin hold?
6-7

step 2 of glycogenesis
glycogen synthase breaks the phosphodiester bond of UDP-glucose and forms a alpha(1,4) glycosidic bond between glucose and the growing chain at its nonreducing end
so a UDP without a glucose is left as byproduct
once the chain is about 13 sugars long, it will branch out via branching enzyme

step 3 of glycogenesis
branching enzyme removes 6-7 terminal glucose molecules from the nonreducing end by breaking their glycosidic bonds (once there are at least 11 in the total chain) and moves them to a new section to form a new branch
creates alpha (1,6) linkages at branch points at newly formed branches
so now you have 2 chains instead of one, so even more glucoses and branches can be added by glycogen synthase and branching enzyme working together

how many glucose do you need in a chain before branching enzyme can form a new branch
11
the outermost tiers of glycogen are
not yet branched
the enzymes for glycogenesis and glycogenolysis are
very physically close to glycogen granules
for easier regulation
3 enzymes that help form glycogen (glycogenesis)
glycogenin
glycogen synthase
branching enzymes
3 enzymes that help convert glycogen to glucose-6-phosphate (which can be converted into glucose) (glycogenolysis)
glycogen phosphorylase
phosphoglucomutase
debranching enzyme
step 1 glycogenolysis
glycogen phosphorylase cleaves the alpha(1,4) linkages of glycogen from the nonreducing end to yield glucose-1-phosphate using a Pi to form a similar rxn to hydrolysis
so Ps the sugar as it breaks it off
stops removing glucoses once there are only 4 sugars left on the chain

glycogen phosphorylase is aka
phosphorylase
step 2 glycogenolysis
phosphoglucomutase isomerizes glucose-1-phosphate to glucose-6-phosphate
the P’d Ser of phosphoglucomutase Ps glucose-1-phosphate’s C6
then the Ser takes the P from the C1 of the glucose1,6-biphosphate, yielding glucose-6-phosphate

step 3 glycogenolysis
debranching enzyme hydrolyzes the alpha(1,6) glycosidic bonds at branch points of glycogen
transfers the last 3 glucose residues of 4 total attached to a branch point to a nearby nonreducing end, forming 1 longer chain
then debranching enzyme removes the single glucose at the branch point off, yielding 1 glucose molecule
the unbranched polysaccharide can easily be acted on now to remove glucoses
so debranching enzyme acts as both a transferase and a hydrolase

debranching enzyme acts as
both a transferase and a hydrolase
____ in muscle and most tissues feeds directly into glycolysis
glucose-6-phosphate
the liver excretes
glucose-6-phosphate to the blood (but most convert the glucose-6-phosphate to glucose first)
conversion of glucose-6-phosphate to glucose
so the liver can transport glucose-6-phsophate from glycogenolysis out to the blood to be used as glucose
a G6P transporter lets G6P into the ER lumen, then glucose-6-phosphatase removes the P from glucose-6-phoaphate to yield glucose and a Pi
both the glucose and Pi moves out of the ER (glucose via GLUT2) and Pi via a Pi transporter) and into the bloodstream to be used

is glucose-6-phosphate used as energy for the liver?
no its gets converted into glucose to be transported into the bloodstream
glycogen storage diseases
when people have inherited defected enzymes for glycogenolysis or glyconeogenesis
so affects liver and muscle cells the most since that’s where glycogen gets broken down the most
can cause slow developmental growth, enlarged liver since you have an excess of glycogen, weak muscles, muscle pain/cramping
can use enzyme replacement therapy, but doesn’t always help
hormonal regulation of glycogen phosphorylase
phosphorylase can be in a or b form (a is active)
phosphorylase b kinase phosphorylates phosphorylase b to make it into a form, which is active (triggering glycogenolysis)
PP1 (phosphorylase phosphatase-1) converts phosphorylase a to b form by removing the Ps from a form
glucagon from the liver, epinephrine, Ca2+, AMP, PKA all incr the /activate phosphorylase b kinase to incr the conversion of b to a form, making it active
the Ser’s of phosphorylase get P’d and unP’d

PP1 (phosphorylase phosphatase-1) ___ phosphorylase
inactivates
by removing its P and turning it into b form (triggering glycogenesis)
phosphorylase b kinase ____ phosphorylase
activates and Ps
makes it into a (active) form, triggering glycogenolysis
steps of how PKA activates phosphorylase b kinase
muscle and liver cells GPCRs receive epinephrine or glucagon (respectively) and their galpha protein gets activated, activates adenylyl cyclase to make cAMP, which activates PKA, which activates phopshorylase b kinase to form phosphorylase a (active form)
phosphorylase in a form cleaves sugars from glycogen
so glycogenolysis is encouraged

things that activate phosphorylase b kinase
Ca2+
AMP
epinephrine
glucagon
P’d Ser of the enzyme (this is what activates it)
phosphorylase in the liver
is a glucose sensor
once glucose levels get high, glucose binds to the allosteric sites of phosphorylase a, causing the Ser’s face out of the phosphorylase when it is P’d so that they can be removed easier (allows for regulation) to convert it to phosphorylase b form
when insulin comes in (bc glucose levels high), it also helps convert phosphorylase a to phosphorylase b to inhibit glycogenolysis since glucose levels are high again

glycogen synthase in inactive when
P’d
glycogen synthase is ___ regulated
hormonally
regulation of glycogen synthase
when blood glu is high, insulin inhibits GSK3 (glycogen synthase kinase-3), which phosphorylates glycogen synthase at its 3 Ser’s a to b form (inactive)
high blood glu causes insulin to activate PP1, which removes the P from glycogen synthase b to form glycogen synthase a (active)
glucose-6-phosphate can also activate PP1
glucagon and E inhibit PP1
before GSK3 can turn a into b, casein kinase 2 (CKII) must prime the glycogen synthase

where is glycogen synthase P’d
at its 3 Ser residues
all 3 must be P’d to make it into the inactive glycogen synthase b form

which form of glycogen synthase is the activated form?
a form
in which its 3 Ser residues all lack P’s
how does glucose-6-phosphate allosterically effect PP1
since G6P being high means there is enough glucose in the body, so it activates PP1 to dephosphorylate glycogen synthase b to a form, to encourage glyconeogenesis when glucose levels are high

regulation of glycogen synthase and glycogen phosphorylase

glucagon and E stimulate ____ and inhibit ____
stimulate phosphorylase and inhibit synthase
since blood glu is low, so need to make glucose/lyse glycogen to do glycogenolysis
insulin inhibits ___ and stimulates ___
inhibits phosphorylase and stimulates synthase
since blood glu is high so can synthesize glycogen
image

muscle cells store glycogen for
its own needs
since muscles need a lot of energy during exercise, so do glycolysis to get ATP
Glucagon's primary target is the liver, where it signals the release of stored glucose into the bloodstream to raise blood sugar levels
can NOT do gluconeogenesis (occurs in liver)
lacks a glucagon receptor since it doesn’t respond to glucagon
