1/50
Looks like no tags are added yet.
Name | Mastery | Learn | Test | Matching | Spaced | Call with Kai |
|---|
No analytics yet
Send a link to your students to track their progress
A minimum-cost flow problem has 5 supply nodes, 0 transshipment nodes, and 3 demand nodes. If each supply node can ship to every demand node, how many arcs will be included in the model?
15
The transportation problem is a special case of
Maximum Flow Problems.
Minimum-Cost Flow Problems.
Maximum-Cost Flow Problems.
Minimum Flow Problems.
Shortest Path Problems.
Minimum-Cost Flow Problems.
The assignment problem is a special case of
Minimum-Cost Flow Problems.
Shortest Path Problems.
Minimum Flow Problems.
Maximum Flow Problems.
Maximum-Cost Flow Problems.
Minimum-Cost Flow Problems.
In a minimum-cost flow problem, which of the following is TRUE?
There is at least one supply node.
There is at least one demand node.
A feasible solution will exist if and only if total supply matches total demand.
The number of supply nodes can be different from the number of demand nodes.
All of the answer choices are true.
All of the answer choices are true.
In a distribution network, a warehouse which takes in goods from a manufacturing site and ships goods to customers is represented by
a sink.
a demand node.
a supply node.
a source.
a transshipment node.
a transshipment node.
A firm is attempting to determine the total shipping capacity of its supply network, which links a single manufacturing plant to a single customer. What type of network optimization problem is this?
Maximum-Cost Flow Problem
Minimum Flow Problem
Maximum Flow Problem
Shortest Path Problem
Minimum-Cost Flow Problem
Maximum Flow Problem
A travel agent is attempting to find the fastest combination of transportation options to allow a customer to travel from one city to another. What type of network optimization problem is this?
Minimum-Cost Flow Problem
Maximum Flow Problem
Shortest Path Problem
Minimum Flow Problem
Maximum-Cost Flow Problem
Shortest Path Problem
Which of the following can be formulated as a linear programming problem?
i. Minimum-Cost Flow Problem
ii. Maximum Flow Problem
iii. Shortest Path Problem
I only
II only
III only
I, II, and III
None of the answer choices can be formulated as a linear programming problem
I, II, and III
Shortest path problem formulation can be applied to which of the following?
Finding the combination of travel modes which minimizes distance travelled
Finding the combination of travel modes which minimizes travel time
Finding the combination of travel modes which minimizes travel cost
I only
II only
III only
I, II, and III
None of the answer choices is correct
I, II, and III
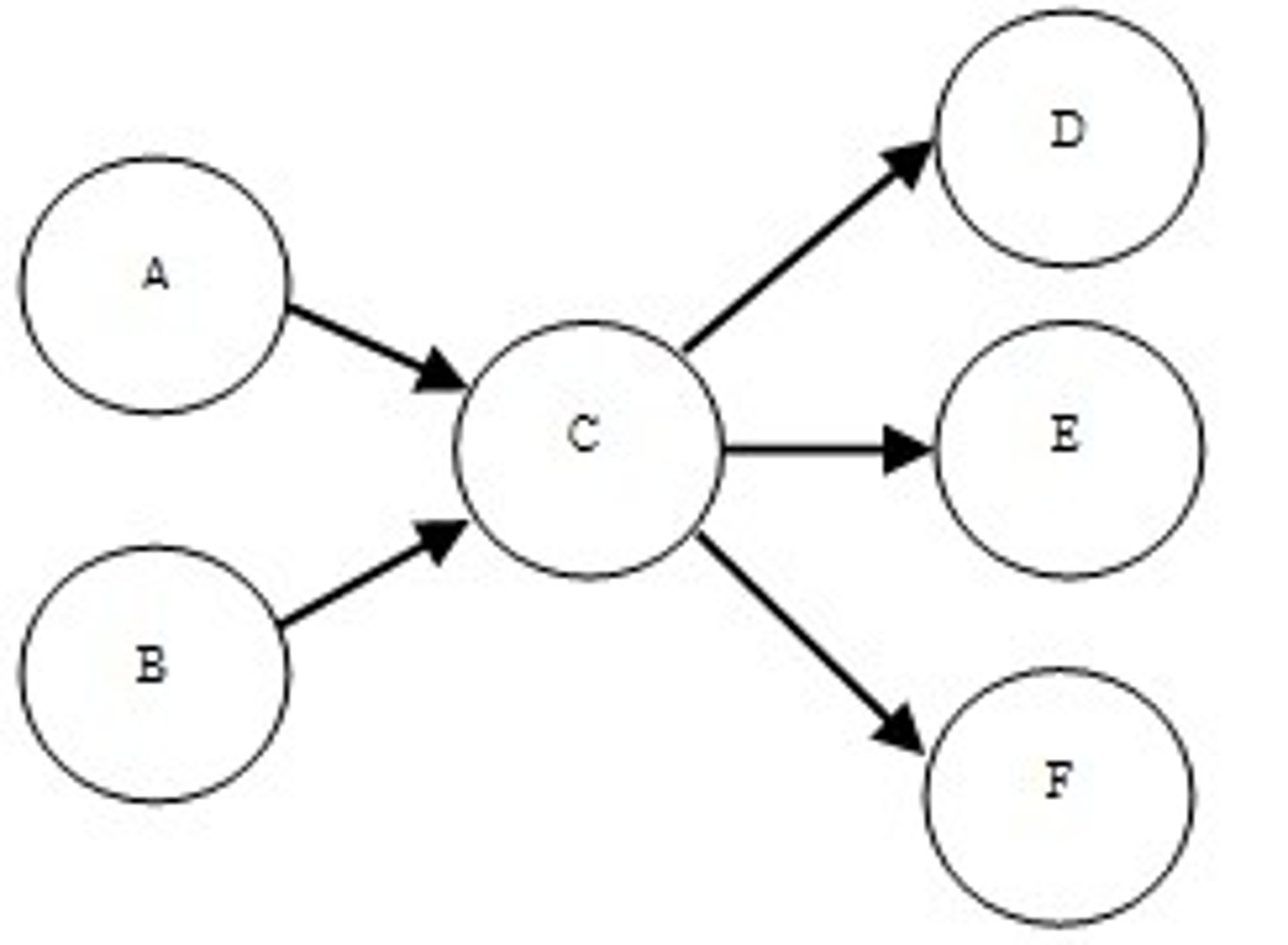
In the following network diagram, how many supply nodes are present?
1
2
3
5
6
2

In the following network diagram, how many demand nodes are present?
1
2
3
4
5
6
3

A minimum-cost flow problem has 8 supply nodes, 0 transshipment nodes, and 3 demand nodes. If each supply node can ship to every demand node, how many arcs will be included in the model?
24
A minimum-cost flow problem has 5 supply nodes, 2 transshipment nodes, and 5 demand nodes. Each supply node can ship to each transshipment node but cannot ship to any demand node or to any other supply node. Each transshipment node can ship to each demand node, but cannot ship to any supply node or to any other transshipment node. How many arcs will be included in the model?
20
(# of supply nodes x number of transshipment nodes) + ( # of transshipment nodes * # of demand nodes)
T/F:
A minimum-cost flow problem may be summarized by drawing a network only after writing out the full formulation.
False
T/F:
The model for any minimum-cost flow problem is represented by a network with flow passing through it.
True
T/F:
Network representations can be used for financial planning.
True
T/F:
A network representation is a very specific conceptual aid and is only used in special cases.
False
T/F:
All network optimization problems actually are special types of linear programming problems.
False
If the slope of a graphed function never increases but sometimes decreases, the function displays which of the following?
I. Increasing marginal returns.
II. Decreasing marginal returns.
III. Either increasing or decreasing marginal returns may have this form
I only
I and II only
II only
III only
II and III only
II only
Which of the following statements about nonlinear models is TRUE?
I. Nonlinear models are easier to understand than linear models.
II. Nonlinear models may more accurately represent a business situation.
III. Nonlinear models simplify the process of solving a maximization problem.
I only
II only
III only
I and II only
II and III only
II only
Which of the following characteristics does this chart display?
I. Decreasing marginal returns
II. Piecewise linearity
III. Discontinuity
Multiple Choice
I only
II only
III only
I and II only
II and III only
II and III only

Which of the following characteristics does this chart display?
I. Decreasing marginal returns
II. Piecewise linearity
III. Discontinuity
I only
II only
III only
I and II only
I and III only
I and II only

The following chart shows the relationship between marketing expenditures and sales.
Which of the following statements is FALSE?
I. Sales are maximized when marketing expenditures are at their highest.
II. There is a local minimum in sales when marketing expenditures are $140.
III. The global minimum for sales occurs when marketing expenditures are $140.
I only
II only
III only
I and II only
I and III only
I and III only

Under what conditions will Excel's Nonlinear Solver be guaranteed to identify the global maximum of a profit function?
I. When profits demonstrate decreasing marginal returns
II. When profit demonstrate increasing marginal returns
III. When the profit function has two or fewer discontinuities
I only
II only
III only
I and II only
I and III only
I only
T/F: Linear programming assumes that the profit from each activity is proportional to the level of that activity.
True
T/F:
If the slope of a graph never increases, but sometimes decreases as the level of the activity increases, then it is said to have decreasing marginal returns.
True
T/F:
In problems where the objective is to minimize the total cost of the activities, an activity is said to have decreasing marginal returns if the slope of its cost graph never increases but sometimes decreases as the level of the activity increases.
False
T/F:
Nonlinear programming problems with decreasing marginal returns are generally easier to solve then nonlinear programming problems with increasing marginal returns.
True
T/F:
Having activities with decreasing marginal returns is the only way that the proportionality assumption can be violated.
False
T/F:
Separable programming is applicable when there are increasing or decreasing marginal returns.
False
Social responsibility is know as ______.
Profit and planet
People and profit
None of the options are correct
People and community
People and community
The overlap of people and profit results in
Equitable
None of the options are correct
Tolerable
Sustainability
Equitable
Sustainability is ________
Not meeting the needs of the present without compromising the ability of future generations to meet theirs.
Meeting the needs of the present without compromising the ability of future generations to meet theirs.
Meeting the wants of the present without compromising the ability of future generations to meet theirs.
Meeting the needs of the future without compromising the ability of present generations to meet theirs.
Meeting the needs of the present without compromising the ability of future generations to meet theirs.
A company's social responsibility strategy is typically comprised of all but which one of the following elements?
Actions to protect or enhance the environment and, in particular, to minimize or eliminate any adverse impact on the environment stemming from the company's own business activities
Actions to keep prices low enough that the company's profits will not be viewed by the general public as obscenely high or exorbitant
Actions to enhance workforce diversity and make the company a great place to work
Charitable contributions, support of worthy organizational causes, participation in community service activities, helping to make a difference in the lives of the disadvantaged, and efforts to better the quality of life in society at large
Actions to keep prices low enough that the company's profits will not be viewed by the general public as obscenely high or exorbitant
The term "triple bottom line" refers to ______.
measuring a company's performance in the social responsibility arena and setting formal performance targets in three areas: "profit, people, and planet.
The term "triple bottom line" refers to empirical measures of a company's performance in three critical areas of social responsibility: ethical behavior, charitable contributions, and environmental stewardship.
he three criteria for evaluating a company's social responsibility strategy: the percentage of revenues devoted to corporate citizenship activities, the percentage of revenues devoted to the enforcement of high ethical standards, and the percentage of revenues devoted to making the company's operations more environmentally sustainable.
measuring a company's performance in the social responsibility arena and setting formal performance targets in three areas: "profit, people, and planet.
A triple bottom line measures a company's degree of social responsibility, its economic value and its environmental impact.
Only sometimes
False
True
True
Data is raw, unprocessed ______.
numbers
text
pictures
video
All of these choices are correct.
All of these choices are correct.
Which of the following results from aggregating and summarizing measurements collected?
Data
Information
Insights
Actionable insights
None of these choices is correct.
Information
Which of the following is more likely to be the basis for recommendations in a research report?
Data
Information
Insights
Actionable insights
None of these choices is correct.
Actionable insights
Which of the following is more likely to come from multiple variables versus a single variable?
Data
Information
Insights only
Actionable insights only
Both insights and actionable insights
Both insights and actionable insights
Which of the following are inductive or deductive conclusions?
Data
Information
Insights only
Actionable insights only
Both insights and actionable insights
Both insights and actionable insights
Which of the following is novel, unusual, or unexpected—rather than familiar?
Data
Information
Insights only
Actionable insights only
Both insights and actionable insights
Actionable insights only
Which of the following is aligned with key business goals and strategic initiatives?
Data
Information
Insights only
Actionable insights only
Both insights and actionable insights
Actionable insights only
Which of the following is a researcher's responsibility in developing the research report?
Develop insights.
Make sure the audience understands how any insight/actionable insight was derived.
Present as much information as possible from the research.
Make sure the manager-sponsor of the research implements the recommendations.
None of these choices is correct.
Make sure the audience understands how any insight/actionable insight was derived.
Which of the following is a researcher's responsibility in developing the research report?
Present as much information as possible from the research.
Provide correct and sufficient support for each insight.
Develop insights.
Make sure the manager-sponsor of the research implements the recommendations.
None of these choices is correct.
Provide correct and sufficient support for each insight.
Which of the following report structures focus on sharing as much information as was discovered during the research?
Data-centric
Audience-centric
Insight-centric
Objective-centric
Needs-centric
Data-centric
Which of the following report structures focus on the audience's embrace of recommendations?
Data-centric
Audience-centric
Insight-centric
Objective-centric
Needs-centric
Audience-centric
Which of the following report planning approaches results in a report that is more statistical?
Data-centric
Audience-centric
Insight-centric
Objective-centric
Needs-centric
Data-centric
When the researcher knows the reaction, she wants from a research report, she is focused on _____.
data.
information.
insights.
actionable insights.
desired audience effect.
desired audience effect.
Which of the following is controlled by the desired audience effect?
Insights derived from the data
Recommendations derived from the insights
Report structure
Content and style of the report
Report structure and content and style of the report
Report structure and content and style of the report
Which of the following is NOT controlled by the desired audience effect?
Report structure
Report organization
Insights derived from the data
Content and style
Information visualization
Insights derived from the data