TAUTOMERISM

5.0(1)
Studied by 4 people
call kaiCall Kai
learnLearn
examPractice Test
spaced repetitionSpaced Repetition
heart puzzleMatch
flashcardsFlashcards
GameKnowt Play
Card Sorting

1/22

Last updated 3:59 AM on 10/27/22
Name
Mastery
Learn
Test
Matching
Spaced
Call with Kai

No analytics yet

Send a link to your students to track their progress

23 Terms

1
New cards
Tautomerism
➢ Phenomenon where a single chemical compound tends to exist in two or more interconvertible structures that are different in terms of the relative position of one atomic nucleus which is generally the hydrogen
2
New cards
Structural Requirement of Tautomerism
➢ Compounds contain polar molecules and weakly acidic group functional groups
➢ Involves the change in position of an atom
➢ Has no effects on bond length or such features
➢ Occurs in planar or non-planar molecules
3
New cards
Tautomers
➢ Type of functional isomers which exist in rapid equilibrium in solution
➢ Interconvertable in solution
➢ Usually differs in position of H atom at A carbon
➢ Interconversion of tautomers can be catalyzed
➢ Can’t be separated in solution at normal temperature
➢ The more stable form dominates in equilibrium
4
New cards
Tautomerism Example
➢ If we consider the simple definition of tautomerism then it is described as a type of isomerism wherein the
isomers interchange into or between one another very
easily in order to exist together in equilibrium. During the
reaction, there is proton transfer occurs in an intramolecular fashion
5
New cards
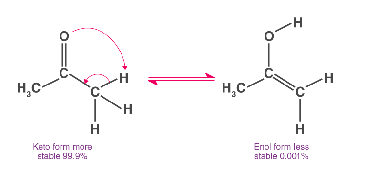
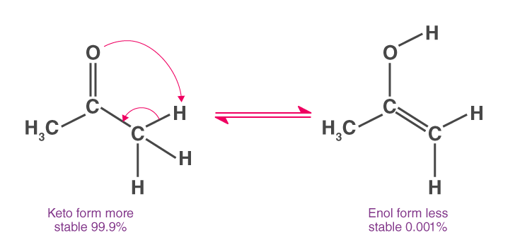
Type-1 Keto-Enol tautomerism
knowt flashcard image
6
New cards
Cyclohexanone and cyclohexanol
knowt flashcard image
7
New cards
Type-1 Keto-Enol tautomerism
knowt flashcard image
8
New cards
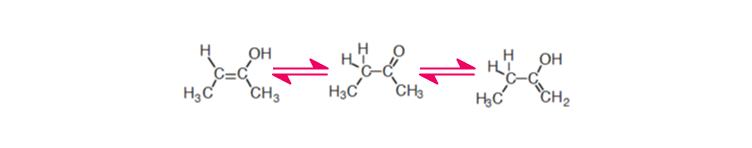
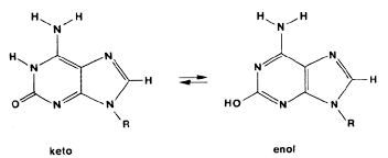
Molecular Representation of Keto-Enol Tautomerism
knowt flashcard image
9
New cards
Molecular Representation of Keto-Enol Tautomerism
knowt flashcard image
10
New cards
Molecular Representation of Keto-Enol Tautomerism
knowt flashcard image
11
New cards
Amino-Imino Tautomerism
Example cyclohex-1-en-1-amine and cyclohexanimine
Example cyclohex-1-en-1-amine and cyclohexanimine
12
New cards
cyclohex-1-en-1-amine and cyclohexanimine
knowt flashcard image
13
New cards
Lactam
type of amide formally derived from an amino alkanoic acid
14
New cards
Lactim
cyclic carboximidic acid consisting of an endocyclic carbon-nitrogen double bond
15
New cards
Type 3-Lactam-Lactim Tautomerism
knowt flashcard image
16
New cards
Type 3-Lactam-Lactim Tautomerism
knowt flashcard image
17
New cards
Type 3-Lactam-Lactim Tautomerism
knowt flashcard image
18
New cards
Cyano-Isocyano Tautomerism
➢ Type-4 Cyano-isocyano
➢ Example: Cyanic acid and isocyanic acid
19
New cards
Cyanic acid and isocyanic acid
knowt flashcard image
20
New cards
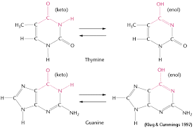
Tautomerism in Non-Carbonyl Compounds
➢ Most of the non-carbonyl systems are available as a
mixture of tautomers
21
New cards
Tautomerism in Non-Carbonyl Compounds
knowt flashcard image
22
New cards
Tautomeric Form of Unsymmetrical Ketones
➢ In symmetric form, there is only one form of tautomer.
➢ But for an unsymmetrical form, there can be two.
23
New cards
Tautomeric Form of Unsymmetrical Ketones
knowt flashcard image

Explore top notes

note
3.13 The Symphony
Updated 1213d ago
0.0(0)
note
Chapter 6: DNA Quantitation
Updated 1145d ago
0.0(0)
note
Emotional Development
Updated 1224d ago
0.0(0)
note
biochemie5
Updated 307d ago
0.0(0)
note
Chapter 8 - Hypothesis Testing
Updated 1458d ago
0.0(0)
note
3.13 The Symphony
Updated 1213d ago
0.0(0)
note
Chapter 6: DNA Quantitation
Updated 1145d ago
0.0(0)
note
Emotional Development
Updated 1224d ago
0.0(0)
note
biochemie5
Updated 307d ago
0.0(0)
note
Chapter 8 - Hypothesis Testing
Updated 1458d ago
0.0(0)

Explore top flashcards

flashcards
Week 2
79
Updated 211d ago
0.0(0)
flashcards
Indonesian introductions
26
Updated 635d ago
0.0(0)
flashcards
Pre-Ap World Midterm Review
123
Updated 1178d ago
0.0(0)
flashcards
3.7 La familia y comunidades
86
Updated 1120d ago
0.0(0)
flashcards
Science test one definitions
69
Updated 149d ago
0.0(0)
flashcards
Week 2
79
Updated 211d ago
0.0(0)
flashcards
Indonesian introductions
26
Updated 635d ago
0.0(0)
flashcards
Pre-Ap World Midterm Review
123
Updated 1178d ago
0.0(0)
flashcards
3.7 La familia y comunidades
86
Updated 1120d ago
0.0(0)
flashcards
Science test one definitions
69
Updated 149d ago
0.0(0)