1/11
Looks like no tags are added yet.
Name | Mastery | Learn | Test | Matching | Spaced | Call with Kai |
|---|
No analytics yet
Send a link to your students to track their progress

C’est quoi ?
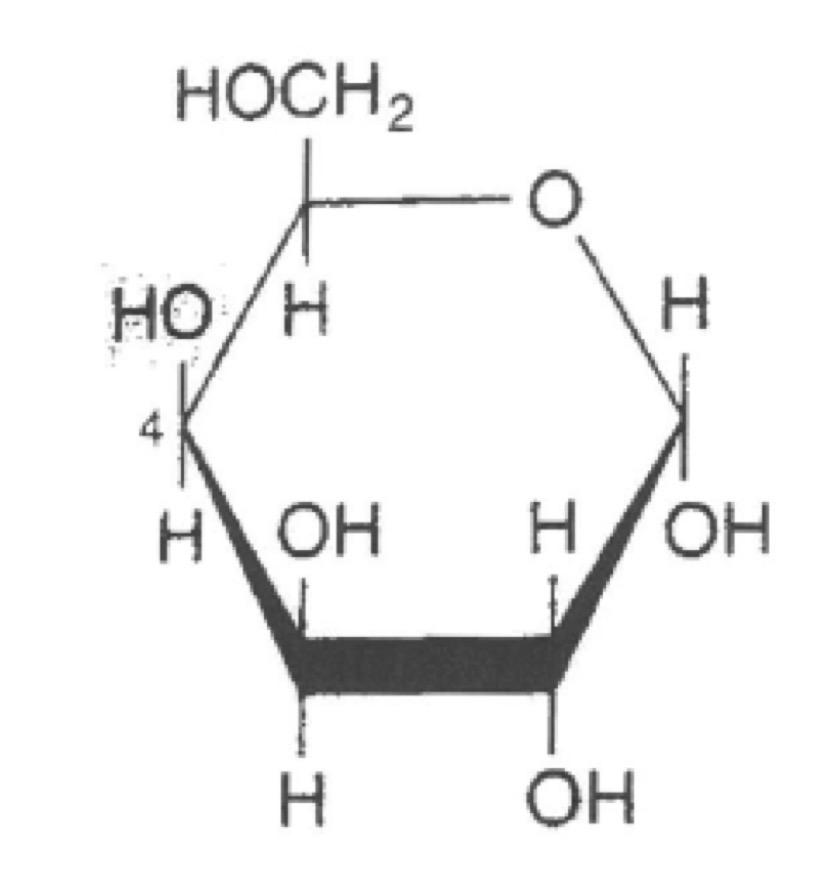
Galactose (a-D-galactose)

C’est quoi ?
Mannose (a-D mannose)

C’est quoi ?
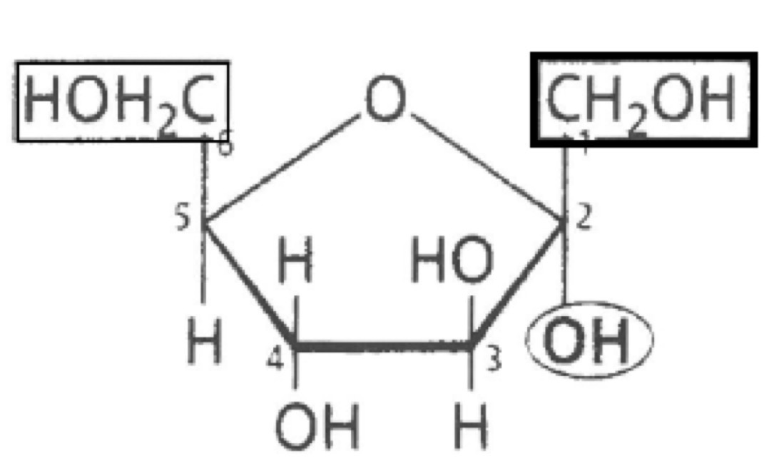
Fructose (a-D-fructofuranose)

C’est quoi ?
Ribose (2-desoxy-D-ribofuranose)
C’est quoi ?
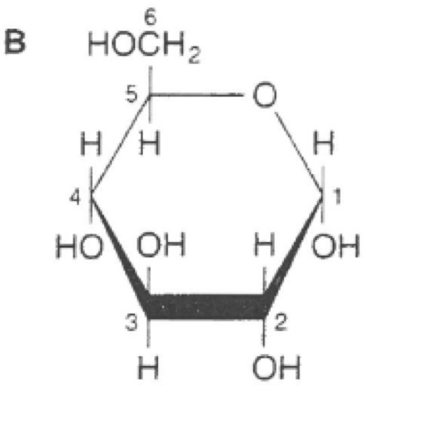
Glucose


C’est quoi ?
D-mannosamine (dérivé aminé)

C’est quoi ?
N acétyl D glucosamine(dérivé aminé)

C’est quoi ?
D-galactosamine(dérivé aminé)

C’est quoi ?
Acide gluconique (aldonique)(dérivé acide)

C’est quoi ?
Acide glycuronique (uranique)(dérivé acide)

C’est quoi ?
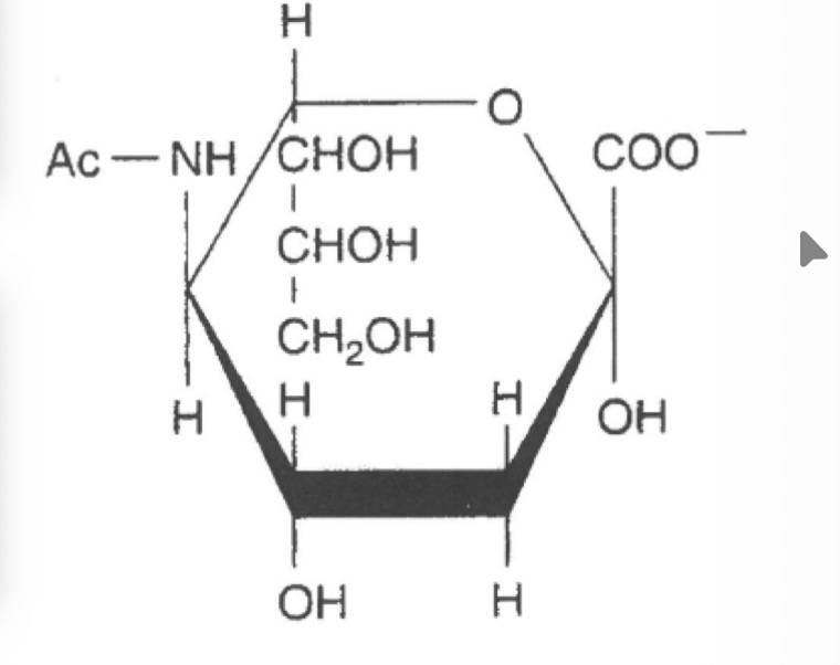
NANA (ac sialique)(dérivé acide)

C’est quoi ?
Acide L ascorbique(dérivé acide)