1/10
Looks like no tags are added yet.
Name | Mastery | Learn | Test | Matching | Spaced | Call with Kai |
|---|
No analytics yet
Send a link to your students to track their progress
Is the 90th percentile better or worse than the 30th percentile?
The 90th percentile is always better than the 30th percentile
- 90th: 90% of scores are at or below this point; only 10% are higher
- 30th: 30% of scores are at or below this point; 70% are higher
How do we derive percentiles from a frequency table?
30th percentile is at 2.5 or below; 95th percentile is at 4.5 or below

Real Limits
Scores are usually measurements of a continuous variable, but measurement is usually discrete; therefore, need to consider upper and lower real limits
- Scores from 2.5 to 3.5 measured as 3
- Scores from 3.5 to 4.5 measured as 4

When the 50th percentile isn't specified, what two methods can we use to calculate it?
1. Interpolation
- Find the value that corresponds to 50th percentile
- Find the percentile that corresponds to a score
2. Formula
- Find the value that corresponds to 50th percentile
- Find the percentile that corresponds to a score
- You get the same answer!

How can you calculate the 50th percentile using interpolation?
Step 1: Determine width of interval
- Width = 5.5 - 4.5 = 1
Step 2: Determine distance to go
- Where is 50% relative to 30% and 60%? (e.g. 45% is halfway)
- Distance between 50% and 30% is 20%
- Distance between 60% and 30% is 30%
- 20% / 30% = 2/3
Step 3: Determine 2/3 of distance between 4.5 and 5.5
- 4.5 + (2/3 x 1) = 5.167
- 4.5 plus (two-thirds times the interval size)
- 50th percentile = 5.167 (50% of scores at or below 5.167)

How can you calculate the 50th percentile using the precise median formula?
- Determine the real limits of interval containing the median: 4.5 to 5.5
- Total number of scores: 10
- Number of scores below: 3
- Number of scores in interval: 3
- Precise median will also be 5.167!

How do you calculate the percentile for a score using interpolation?
Step 1: Determine width of interval
- 70% - 60% = 10%
Step 2: Determine distance to go
- Where is 6 relative to 5.5 and 6.5?
- Distance between 6 and 5.5 is 0.5
- Distance between 6.5 and 5.5 is 1
- 0.5 / 1 = 0.5
Step 3: Determine 1/2 of distance between 60% and 70%
- 60% + (1/2 x 10%) = 65%
- A score of 6 corresponds to the 65th percentile

Interquartile Range
Interquartile Range = Q3 - Q1
- Range covered by middle 50%
- Q3 = 75th percentile
- Q2 = 50th percentile or median
- Q1 = 25th percentile
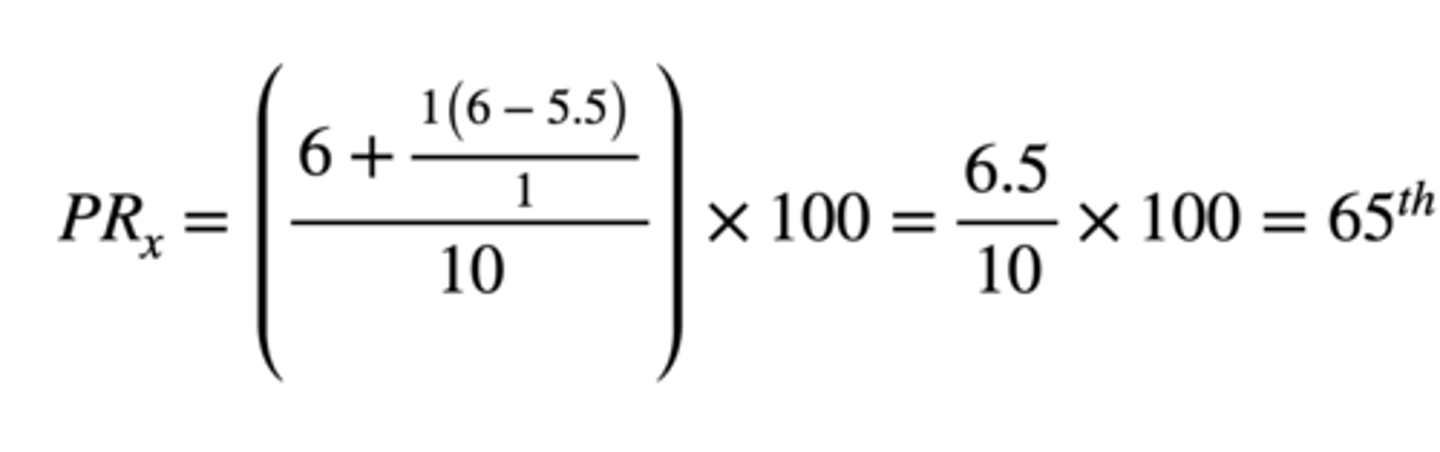
How can you calculate the percentile for a score of 6 using the percentile formula?
Score for which percentile rank is sought (x) = 6
cf = 6
ll = 5.5
w = 1
f of interval = 1
n = 10

What score corresponds to the 50th percentile (using the percentile formula)?
Percentile rank of x = 50
cf = 2
ll = 4.5
w = 5
f of interval = 10
n = 20

When calculating the precise median from frequency tables, how can you get different answers?
Depends on interval width
- Larger interval width = less precision (because there is less info)
- Smaller interval width = more precision (because there is more info)
- Precise median from 64 alone = 64
- Precise median from 60-69 = 60.125
- Precise median from 60-79 = 59.86
