Fizyka wektory, opis ruchu, kinetyka ruchu obrotowego

0.0(0)
studied byStudied by 1 person
0.0(0)
full-widthCall Kai
learnLearn
examPractice Test
spaced repetitionSpaced Repetition
heart puzzleMatch
flashcardsFlashcards
GameKnowt Play
Card Sorting

1/15

flashcard set

Earn XP

Description and Tags

Study Analytics
Name
Mastery
Learn
Test
Matching
Spaced

No study sessions yet.

16 Terms

1
New cards
Iloczyn skalarny
knowt flashcard image
2
New cards
Iloczyn wektorowy
określa jego wartość kierunek i zwrot
określa jego wartość kierunek i zwrot
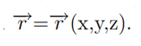
3
New cards
__Układ odniesienia__
wszystkie nieruchome elementy względem których określamy ruch innego ciała
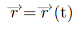
4
New cards
__Wektor położenia__
Położenie ciała w danym układzie współrzędnych
Położenie ciała w danym układzie współrzędnych
5
New cards
__Równanie ruchu__
jeśli ciało się porusza to wektor położenia zależy od czasu
jeśli ciało się porusza to wektor położenia zależy od czasu
6
New cards
__Tor ruchu__
krzywa geometryczna, która zakreśla punkt podczas swojego ruchu
7
New cards
__Prędkość__
wektor dany przez pierwszą pochodną wektora położenia względem czasu t
wektor dany przez pierwszą pochodną wektora położenia względem czasu t
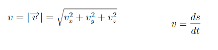
8
New cards
__Szybkość__
długość wektora prędkości, pierwsza pochodna drogi względem czasu t
długość wektora prędkości, pierwsza pochodna drogi względem czasu t
9
New cards
__Droga__
jest to długość łuku, którą ciało zakreśla podczas ruchu. Droga jest więc wielkością skalarną.
jest to długość łuku, którą ciało zakreśla podczas ruchu. Droga jest więc wielkością skalarną.
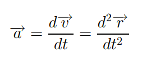
10
New cards
__Przyspieszenie__
wektor dany przez pierwszą pochodną wektora prędkości względem czasu t
wektor dany przez pierwszą pochodną wektora prędkości względem czasu t
11
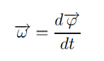
New cards
__Prędkość kątowa__
knowt flashcard image
12
New cards
__Związek łączący prędkość kątową i liniową__
knowt flashcard image
13
New cards
__Prędkość polowa__
knowt flashcard image
14
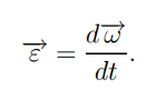
New cards
__Przyspieszenie kątowe__
knowt flashcard image
15
New cards
__Transformacja wektorów prędkości__
zmiana układu odniesienia względem, którego opisujemy ruch
16
New cards
wzór Coriolisa
knowt flashcard image