1/19
Looks like no tags are added yet.
Name | Mastery | Learn | Test | Matching | Spaced | Call with Kai |
|---|
No analytics yet
Send a link to your students to track their progress
Alanine - Ala - A

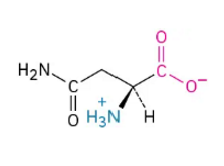
Asparagine - Asn - N

Cysteine - Cys - C

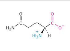
Glutamine - Gln - Q

Glycine - Gly - G

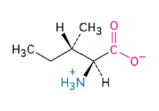
Isoleucine - Ile - I

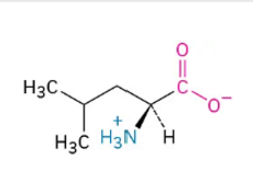
Leucine - Leu - L

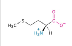
Methionine - Met - M

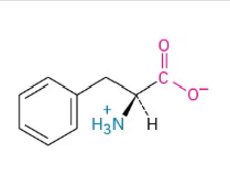
Phenylalanine - Phe - F

Proline - Pro - P

Serine - Ser - S

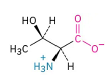
Threonine - Thr - T

Tryptophan - Trp - W

Tyrosine - Tyr - Y

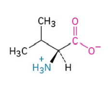
Valine - Val - V

Aspartic acid - Asp - D

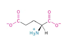
Glutamic Acid - Glu - E

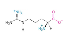
Arginine - Arg - R

Histidine - His - H

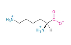
Lysine - Lys - K
