1/5
Looks like no tags are added yet.
Name | Mastery | Learn | Test | Matching | Spaced | Call with Kai |
|---|
No analytics yet
Send a link to your students to track their progress
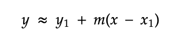
Equation for approximation (tangent line)

2 things you need to find a local linearization
A point and a slope 🤯
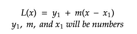
The final form of linearization (no y)

Underestimation with local linearization if
f(x) is concave up
Overestimation with local linearization if
f(x) is concave down
You can figure out the concavity of f(x) with
Second derivative