1/12
Looks like no tags are added yet.
Name | Mastery | Learn | Test | Matching | Spaced | Call with Kai |
|---|
No analytics yet
Send a link to your students to track their progress
LRAM
Underestimate

MRAM

RRAM
Overestimate

Riemann sum

Order of Integration
∫{b→a} f(x) dx = -∫{a→b} f(x) dx
Zero
∫{a→a} f(x) dx = 0
Constant multiple
∫{a→b} k*f(x) dx = k*∫{a→b} f(x) dx
Sum and difference
∫{a→b} (f(x) ± g(x)) dx = ∫{a→b} f(x) dx ± ∫{a→b} g(x) dx
Additivity
∫{a→b} f(x) dx + ∫{b→c} f(x) dx = ∫{a→c} f(x) dx
Max-min Inequality
If max f and min f are maximum and minimum values of f on [a,b], then:
min f⋅(b-a) ≤ ∫{a→b} f(x) dx ≤ max f⋅(b-a)
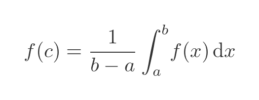
MVT for Definite Integrals

Fundamental Theorem of Calc Pt. 1
If f is continuous on [a,b], then the function
F(x) = ∫{a-x} f(t) dt
has a derivative at every point x in [a,b], and
dF/dx = d/dx ( ∫{a→x} f(t) dt ) = f(x)
Fundamental Theorem of Calc Pt. 2
If f is continuous at every point [a,b], and if F is the antiderivative of f on [a,b], then:
∫{a→b} f(x) dx = F(b) - F(a)