1/115
exam 1
Name | Mastery | Learn | Test | Matching | Spaced | Call with Kai |
|---|
No analytics yet
Send a link to your students to track their progress
When does the sea become “deep sea”?
200 m
When light begins to dissipate and/or temp drops, shelf break
What zones are considered “deep sea”?
Mesopelagic (water column)
Benthic zone (sea floor)
Abyssalpelagic
What amount of Earth’s surface is considered deep sea?
97%, over 200 m
What are characteristics of deep sea environment?
Little to no light
High pressure
Low temperatures
High salinity
Well-oxygenated in most regions (colder water holds more oxygen)
Food limited with some exceptions
Stable salinity and temperatures

What is A?
Epipelagic

What is B?
Mesopelagic

What is C?
Bathypelagic

What is D?
Abyssalpelagic
What is an adaptation to make up for reduced seasonal signals and lack of food?
Food storage
What is the euphotic zone?
Sunlight rarely penetrates beyond this point
What is the dysphotic zone?
Sunlight decreases rapidly with depth, photosynthesis is NOT possible
Also known as twilight zone
What is the aphotic zone?
Sunlight does not penetrate at all, bathed in darkness
Contains bathypelagic, abyssopelagic, and hadopelagic zone
In which order do these zones go from least to most deep?
Abyssopelagic
Bathypelagic
Hadopelagic
Bathypelagic (midnight) zone — 1000-4000 meters
Abyssopelagic (abyss) zone — 4000-6000 meters
Hadopelagic (hadal) zone — 6000 meters

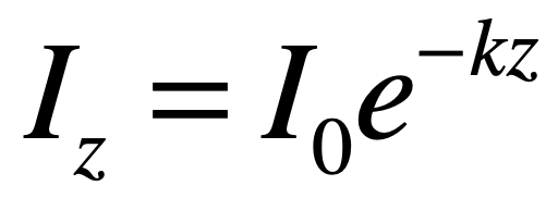
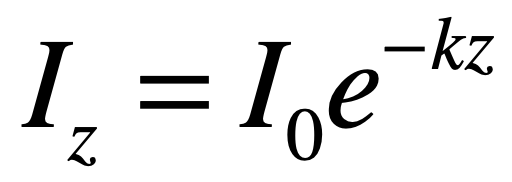
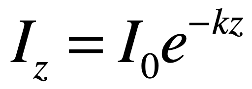
What does L stand for?
Light intensity

What does k stand for?
Attenuation efficient

What does z stand for?
Depth
Depth of photic zone = (0.01)10
What can stabilize in the deep sea’s pressure?
Tri-methylamine N-oxide (TMAO)
Also found in fish tissue
How far has no fish been found?
Over 8400 meters
Deepest known is snailfish
What does thermohaline circulation bring?
Cold, salty, well-oxygenated water to the deep waters
How much of organic matter makes it to the seafloor?
1%
What is abundance?
Count of organisms
What is biomass?
Mass of organisms
What is the littoral zone?
Shoreline area
What do cold seeps produce?
Methane (CH4)
Can be acoustically detected
What are seamounts?
Underwater mountains formed by volcanic activity
Why are seamounts hot spots for fishing?
Seamounts upwelling nutrient-rich water which attracts more fish to the surface
How are mid-ocean ridges formed?
Plate tectonics, they are mountain ranges
Can break and make more seafloor
What is a black smoker?
Release of rich iron sulfides, vents pull in water from the deep sea through ridge/warm core which creates heat, thus creating chemical bonds
What are ocean trenches?
Features of subduction
Deepest in Atlantic is Puerto Rico trench
What is the azoic theory?
There is no life below 300 fathoms/550 m
Forbes hypothesized this
What was the demise of the azoic theory?
Charles Wyville Thomson cruised out to investigate distribution of deep sea life, chemical composition, physical properties in basins
Found life
What is satellite-derived bathymetry?
High spatial coverage, low resolution
What is multi beam sonar bathymetry?
Low spatial coverage, high resolution
What are some collective/destructive tools to study the deep sea?
nets
dredges
trawls
niskin/go-flo bottles
benthic grabs
sentiment cores
What are some observation/non-destructive tools to study the deep sea?
Acoustic (sonar)
Light (lidar) — short range
Photography/videography
Sensors (methane, temp, pH)
What are different ways we sample/observe the deep sea?
lowering instruments on a wire
freely descending landers and floats
Vehicles (like tiny submarine) deployed from a ship
Cabled observations — put on ocean floor surface, tiny vehicles help charge and bring up from the ocean
How do nets collect samples?
Collect samples in water column
Can have various mesh sizes used depending on target organisms
Have multiple opening and closing environmental systems (sensors can give out oxygen levels, pH levels, open and close certain nets)
Environmental sensors
Can sample at discrete depths
Sleds
What are sleds?
Samples along the seafloor, can dig into it, environmental sensors, cameras attached
How are water samples taken?
In niskin tables (1-30 L), individual deployment
Messenger slides down to button that releases spring, hence closes bottle
How do you take sediment samples?
Box core
Multicore
What is a box core?
Lead weights push box on floor and takes sediment up
A spade keeps it closed while going up
What is a multicore sample?
Lead weights push on floor, gets some water as well
What are benthic grabs?
Directed sampling
Target specific features and organisms
Active heave compensated winch that helps stabilize cameras
What does CTD mean?
Stands for conductivity, temp, and depth
Refers to electronic instruments that measure these
Nistkin bottles
Why do niskin bottles and CTD rosettes have foam?
For buoyancy
What is an ROV?
Remotely operated vehicle
How do ROVs work?
Tethered to a ship by a cable and transmits video+ data in real time, videos get shown in a control room viewing
There is no limit to deployment time
What does single body system mean?
One vehicle
Tethered directly to ship
More maneuverable
What does dual body system mean?
2 vehicles on ROV, prevents camera shaking
Provides spatial awareness by lights and cameras
What is a towsled ROV?
Lights seafloor below, has multiple cameras, reduces ship motion for exploration
What is an exploration ROV?
Neutrally buoyant, carries cameras and lights, equipped with manipulator arms
What are some types of sample collections from HOV/ROV?
Cameras (stills,videos)
Lighting (strobe, continuous)
Manipulator arms
What are different types of manipulator arms?
Suction tubes
Coring device
Sensors
Soft robotics
RAD sampler (traps live organisms)
What does AUV stand for?
Autonomous underwater vehicle
What are the pros of using AUVs?
Programmable
Lower costs
Great for mapping
Can operate a fleet
What are the cons of using AUVs?
Don’t know what they’re doing
Lots of training
Modify missions
What kind of data do AUVs collect during seafloor surveying?
Multibeam sonars
Photographs (stitch photos together for comprehensive view)
Physical and chemical datas
What is a nutrient?
Dissolved molecules that can be taken up by microbes and some invertebrates
IE — nitrate, ammonium, phosphate, metals
What is a particulate?
From organisms and dead matter
IE fecal pellets, marine snow
What is a DOM?
Dissolved organic matter
Bacteria good at consuming dissolved organic matter
What is a POM?
Particulate organic matter
How does photosynthetic primary production work?
Light energy used to convert inorganic nutrients and CO2 into organic compounds, cell and growth reproduction
Where does photosynthetic net primary production go?
Trophic level
What zone makes primary and secondary production?
Photic zone
What 2 zones produce secondary production?
Disphotic zone and aphotic zone
What is phytodetrius?
Aggregated senscent/dead phytoplankton
What is considered particulate organic carbon? (POC)
Phytodetrius
Fecal pellets
Mucus nets (discarded Larvacean houses)
Sloughed off cellular materials
What is in canyon biodiversity?
Coral and sponges
Methane hydrates
Marine litter
What animals first eat whale falls?
Sharks, rattail fish, black hagfish
What animals come second to eat whale falls?
Anemones, sea stars, mollusks, worms, crustaceans
What animals come last to eat whale falls/leftover bones?
“Bone eater snails” and “bone eating worms/zombie worms”
How much food is in the epipelagic zone?
80%
How much food is in the mesopelagic zone?
20%
How much food makes it to the seafloor?
1%
What are different biological pumps?
Mixing pump (physical transport)
Gravitational pump (slower, shrinks due to density)
Migrant pump
What are quantitive sampling tools?
Cores/samples from floors
Nets
Niskin bottles
Photo/video survey
What is surface productivity?
measures the production of carbon
What is benthic biomass?
How many organisms live on the seafloor
What is taxonomic diversity?
Number and variety of species
What is functional diversity?
Number and variety of biological processes, functions, or characteristics of an ecosystem
What is richness?
Number of species in particular area, no regard of species dominance or distribution
How can you tell you have fully measured species richness?
When the lines/data stop climbing/rising, stay in a similar line
What is species evenness?
Number of individuals in each species
How can you find species diversity?
Number of species, weighed for relative abundance, which is a combo of richness and evenness
What depth has the greatest diversity?
Moderate depths
What graph shape shows diversity-depth relationships?
Unimodal, peak in center
What is PDR?
Productivity-diversity relationships
What populations are prone to extinction?
Lower diversity with low productivity
What zone is called the twilight zone?
Mesopelagic zone
What is the only source of light in the deep sea?
Bioluminescence
What is different about silver spiny fin fish eyes?
Can see in the dark and in color
What color often appears under white light?
Red
What kind of camouflage is common in the deep sea?
Ultra-black skin
Reflect <0.5% of light and/or darkness to blend into ocean
What color is most common in bioluminescence?
Blue-green light, transmits best in water
What percent of pelagic organisms are thought to be luminous?
76%
What percent of benthic organisms are thought to be luminous?
30-40%
What is bioluminescence?
Light produced by an organism via chemical reaction
What is luciferin?
Molecule that produces light
What is luciferase?
Enzymes that catalyzes reaction