1/9
Looks like no tags are added yet.
Name | Mastery | Learn | Test | Matching | Spaced |
|---|
No study sessions yet.
energy per oscillator
U=kBT
Boltzmann distribution
a probability distribution that gives the probability of a certain state as a function of that state’s energy and temp of the system to which distribution is applied

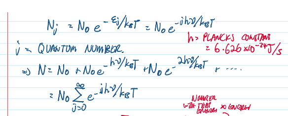
oscillation Nj

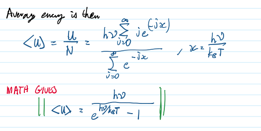
Total energy is then

average energy is then

if atom is considered a crystal-3 directions of motion- 3 oscillators

total energy per mole

plancks distribution and einstein heat capacity frequency oscillator population

wave particle duality
electrons through a double slit at significant rates.
constructive interference giving maxima and destructive interference giving minima.
electrons behave like waves
single slit-electrons act like particles
