Derivatives of Trig Functions

0.0(0)
studied byStudied by 4 people
call kaiCall Kai
learnLearn
examPractice Test
spaced repetitionSpaced Repetition
heart puzzleMatch
flashcardsFlashcards
GameKnowt Play
Card Sorting

1/11

encourage image

There's no tags or description

Looks like no tags are added yet.

Last updated 3:18 AM on 10/4/25
Name
Mastery
Learn
Test
Matching
Spaced
Call with Kai

No analytics yet

Send a link to your students to track their progress

12 Terms

1
New cards
<p></p>

cos(x)

2
New cards
term image

sec²(x)

3
New cards
term image

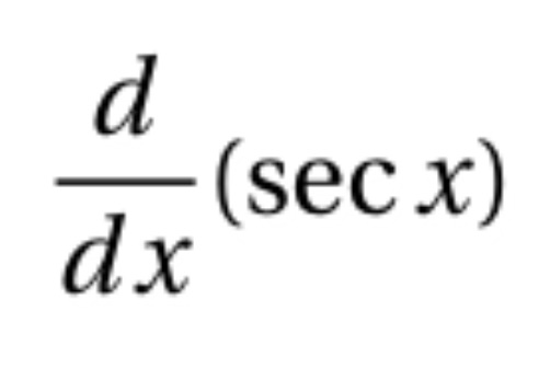
sec(x)tan(x)

4
New cards
term image

-sin(x)

5
New cards
term image

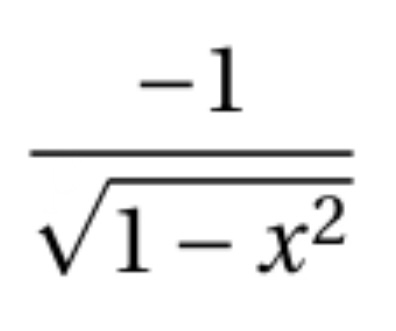
-csc²(x)

6
New cards
term image

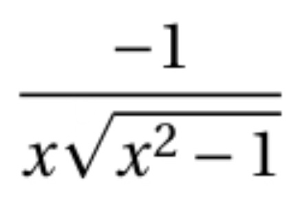
-csc(x)cot(x)

7
New cards
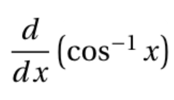
term image
knowt flashcard image
8
New cards
term image
knowt flashcard image
9
New cards
term image
knowt flashcard image
10
New cards
term image
knowt flashcard image
11
New cards
term image
knowt flashcard image
12
New cards
term image
knowt flashcard image