1/44
Name | Mastery | Learn | Test | Matching | Spaced | Call with Kai |
|---|
No analytics yet
Send a link to your students to track their progress
Toloul bzw. Methylbenzol

Naphthalin

Anthracen

Phenyl-

Benzyl-

Naphthyl-

Benzolsulfonsäure

Benzylbromid

Furan

Pyrrol

Imidazol

Pyridin

Pyrimidin

Indol

Purin

Tryptophan

NADH
H wird oben angefügt; bei NAD+ sind im Ring 3 Doppelbindungen!

Cyclohexan

Sulfonsäure

Dimethylamin

Benzoesäure

Oxalsäure

Malonsäure

Citronensäure
wichtig für den Zitronensäurezyklus

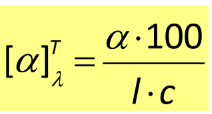
Biotsches Gesetz
Spezifischer Drehwert des Lichts bei Temp. T und Wellenlänge λ

Konstitutionsisomere
Summenformel bleibt gleich bei unterschiedlicher Strukturformel
Konformationsisomere
Änderung der Strukturformel durch Drehung
Konfigurationsisomere
Änderung der Stellung im Raum, nicht durch Drehung ineinander überführbar
→ Enantiomere und Diastereomere
Enantiomere
Strukturformeln sind Spiegelbilder voneinander
Diastereomere
Konfiguration E oder Z

Chiralität
chirale Objekte sind mit ihrem Spiegelbild nicht deckungsgleich
→ keine Drehspiegelachsen
Racemat
1:1 Mischung zweier Enantiomere
Polarität
entsteht durch einen Bindungspartner mit höherer Elektronegativität als ein C-Atom, der dadurch die Elektronendichte zu sich hinzieht
→ Entstehung eines Dipols
polare Moleküle sind reaktiver als unpolare Moleküle
Nukleophil
Elektronenreich, hat freies Elektronenpaar und/oder negative Ladung
→ gibt Elektronen ab
Elektrophil
Elektronenarm, trägt eine positive Ladung
→ will Elektronen aufnehmen
Carbeniumion
Kohlenstoffatom mit positiver Ladung und nur 3 Bindungspartnern
→ wird stabilisiert durch Hyperkonjugation
Markownikow-Regel
Bei der ionischen Addition von H-X an eine Doppelbindung verbindet sich das H+ mit dem C-Atom, das die meisten H-Atome hat
→ höher substituiertes (stabileres) Carbeniumion entsteht
kinetisches Produkt
Produkt mit dem energetisch günstigsten Reaktionspfad
→ Reaktion braucht besonders wenig Aktivierungsenergie
thermodynamisches Produkt
stabilstes Produkt durch besonders hohe Energieabgabe bei der Reaktion
→ Energieniveau nach Reaktion deutlich niedriger als davor, also exotherm
Benzol

Hückel-Regel
ein planares System mit 4n+2 cyclisch delokalisierten pi-Elektronen ist aromatisch
ortho-Stellung
oben links bzw. rechts am Benzolring

meta-Stellung
unten links bzw. rechts am Benzolring

para-Stellung
genau gegenüber von der zweiten Methylgruppe am Benzolring
