Chapter 3: Two-Dimensional Kinematics

0.0(0)
studied byStudied by 4 people
call kaiCall Kai
learnLearn
examPractice Test
spaced repetitionSpaced Repetition
heart puzzleMatch
flashcardsFlashcards
GameKnowt Play
Card Sorting

1/15

Last updated 2:10 PM on 3/2/23
Name
Mastery
Learn
Test
Matching
Spaced
Call with Kai

No analytics yet

Send a link to your students to track their progress

16 Terms

1
New cards
position vector
A natural way to describe the position of an object in more than one dimension is to define a \_______ that points from the origin to the location of the object.
2
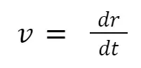
New cards

Position Vector Definiton
3
New cards

Instantaneous velocity (2D Kinematics)
4
New cards

Instantaneous speed (2D Kinematics)
5
New cards

Instantaneous acceleration (2D Kinematics)
6
New cards
two-dimensional vector equations
The definitions of velocity and acceleration are \____________ , each of which is equivalent to a set of two one-dimensional equations.
7
New cards

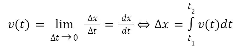
definition of velocity
8
New cards
instantaneous velocity
For the \______________ vector , the magnitude is the speed (a scalar), and its direction is in the direction of motion (tangent to the path of the object).
9
New cards
inertial reference frames
For most problems that you will have to deal with, the two reference frames will be \_____________ , which means that they move with a constant velocity with respect to each other.
10
New cards

Vector addition relates the position of an object relative to two different frames of reference
11
New cards
Tangential Acceleration (a∥)
Affects only the magnitude of the velocity vector.
12
New cards
Radial Acceleration  (a⊥)
Affects only the direction of the velocity vector.
13
New cards
ω
determines the sense of rotation
14
New cards
magnitude of ω
determines how quickly the r(t) vector rotates.
15
New cards
Phase shift angle (ϕ)
A parameter that determines the initial angle and thus the initial position.
16
New cards
Nonuniform circular motion
Refers to motion in a circular path with nonconstant velocity.

Explore top flashcards

Polyatomic Ions
Updated 892d ago
flashcards Flashcards (25)
Module 31
Updated 912d ago
flashcards Flashcards (25)
science
Updated 805d ago
flashcards Flashcards (85)
MKTG Research Final
Updated 426d ago
flashcards Flashcards (138)
Sat vocab
Updated 136d ago
flashcards Flashcards (110)
Polyatomic Ions
Updated 892d ago
flashcards Flashcards (25)
Module 31
Updated 912d ago
flashcards Flashcards (25)
science
Updated 805d ago
flashcards Flashcards (85)
MKTG Research Final
Updated 426d ago
flashcards Flashcards (138)
Sat vocab
Updated 136d ago
flashcards Flashcards (110)