1/277
Everything in Biomolecules chapter except for calculations for Isoelectronic Point, Vitamins, and Hormones. Answer mode: Answer with Definition. Question mode: flashcards only. Almost-Comprehensive flashcards for the entire Biomolecules chapter, suitable for JEE Mains, IAT, NCERT. Not sure about NEET tbh.
Name | Mastery | Learn | Test | Matching | Spaced | Call with Kai |
|---|
No study sessions yet.
What is the general formula for carbohydrates?
C_x(H_2O)_y
where x and y are any natural number
What is the formula of Glucose? (in hydrate form as well)
C_6H_{12}O_6 or C_6(H_2O)_6
Is acetic acid a carbohydrate?
It is not.
What is the chemical formula of rhamnose?
C_6H_{12}O_5
The chemical formula of rhamnose is C_6H_{12}O_5
Is rhamnose a carbohydrate?
yes, it is an exception to the rule.
What is the definition of a carbohydrate?
Carbohydrates are optically active polyhydroxy- aldehyde or ketone which produce simpler units on hydrolysis.
What are sugars?
Carbohydrates that are sweet in taste.
What is a monosaccharide, or simple sugar?
A sugar that cannot be hydrolysed into simpler units.
What is the general formula of monosaccharides?
C_nH_{2n}O_n
What is an oligosaccharide?
Carbohydrates that produce 2-10 simpler units of monosaccharides.


If an aldehyde is present in a monosaccharide, what is it called?
aldose.
If a ketone is present in a monosaccharide, what is it called?
ketose
What is a disaccharide?
a carbohydrate that produces 2 units of monosaccharides on hydrolysis.
What is a trisaccharide?
a carbohydrate that produces 3 units of monosaccharides on hydrolysis.
What are polysaccharides?
These are the non-sugars which yield a large number of monosaccharide units on hydrolysis.
What is the general formula of polysaccharides?
(C_6H_{10}O_5)_n
What is a reducing sugar?
A sugar that reduces Tollen’s reagent, Fehling’s reagent, Benedict’s reagent
What is a non-reducing sugar?
A sugar that does not reduce Tollen’s reagent, Fehling’s reagent, Benedict’s reagen.
Which one has a free -CHO group, a reducing sugar or a non-reducing sugar?
a reducing sugar
Is sucrose a reducing sugar or a non-reducing sugar?
a non-reducing sugar.






Is Glucose an aldose or a ketose?
aldose
Glucose is an aldo____
aldohexose
How would you produce glucose from sucrose? What is the reagent?
By boiling with dilute HCl or H_2SO_4 in alcoholic solution.

How would you produce glucose from starch? What is the reagent? At which temperature? At which pressure?
By boiling with dilute H_2SO_4 at 393K under 2-3 atm.









What is the silver mirror test?
Glucose is reacted with Tollen’s reagent to form gluconic acid and AgCl.
What do you get when you react glucose with Fehling’s solution?
Gluconic acid and a red precipitate of Cu_2O.
What do you get when you react glucose with bromine water?
gluconic acid
What do you get when you react glucose with concentrated HNO_3?
saccharic acid
What is the structure of gluconic acid?

What is the structure of saccharic acid?





What do you get when you react glucose with HI and red phosphorus?
n-hexane

What do you get when you react glucose with any reducing agent like NaBH_4, LiAlH_4, H_2/Ni, Na-Hg/C_2H_5OH etc?
sorbitol
What is the structure of sorbitol?



What do you get when you react glucose with hydroxyl amine?
glucose oxime



What do you get when you react glucose with hydrogen cyanide?
glucose cyanohydrin



What do you get when you react glucose with acetyl chloride?
glucose pentaacetate





What do you get when you react glucose with 5 units of periodic acid?
5 units of formic acid and 1 unit of formaldehyde


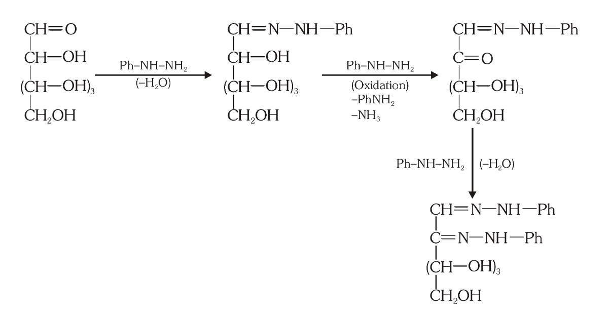
What is the structure of glucose?

Depict the structures of the epimers of D-(+)-glucose (galactose and mannose)

In the structure of glucose, all -OH groups are on RHS, except on which carbon?
C_3

How many chiral carbons does glucose have?
4
How many stereoisomers does glucose have?
2^4
What are epimers?
A pair of diastereomers that differ only in the configuration about a single carbon atom
What is the structure of L-(+)-glucose?

How is the cyclic structure of glucose formed? (diagram)

What is the structure of \alpha-D(+)-Glucose?

What is the structure of \beta-D(+)-Glucose?

When forming cyclic glucose, the -OH group at which carbon is involved in formation?
C_5

What is an anomeric carbon?
It is the carbon from the aldehyde or ketone group from before cyclisation.
What are anomers?
stereoisomers/diastereomers which differ in configuration at anomeric carbon only.
All _____ are ______ but not all _______ are _______.
(epimers, anomers)
All anomers are epimers but not all epimers are anomers.
What is the structure of \alpha-pyranose?

What is the structure of \beta-pyranose?

What is the structure of D-(-)-fructose?

In fructose, the ketone group is at which carbon?
C_2

What is the structure of \alpha-D-(-)-Fructose?

What is the structure of \beta-D-(-)-Fructose?

What is the structure of \alpha-fructofuranose?

What is the structure of \beta-fructofuranose?

In cyclic fructose, the -OH group at C_5 joins with which carbon atom?
C-2

What is the structure of sucrose?

Sucrose is formed by 1 unit of ______ and 1 unit of ______
Sucrose is formed by 1 unit of \alpha-glucose and 1 unit of \beta-fructose
What is inversion of sugar?
Hydrolysis of sucrose brings a change in rotation from dextro to leavo, and this is called inversion of sugar
What is the structure of maltose?

Maltose is formed by 2 units of _____
Maltose is formed by 2 units of \alpha-D-glucose
In sucrose, the glycosidic linkage is between which carbon atoms?
Between C_1 of \alpha-glucose and C_2 of \beta-fructose
In maltose, the glycosidic linkage is between which carbon atoms?
Between C_1 and C_4 of each glucose.
What is the structure of lactose?

Lactose is formed by 1 unit of ______ and 1 unit of ______
Lactose is formed by 1 unit of \beta-D-glucose and 1 unit of \beta-D-galactose
In lactose, the glycosidic linkage is between which carbon atoms?
Between C_1 of \beta-galactose and C_4 of \beta-glucose
What is the structure of amylose?

Starch is a polymer of _______
Starch is a polymer of \alpha-D-glucose
What are the two components of starch?
amylose
amylopectin
What is the structure of amylopectin?

Out of amylose and amylopectin, which one is a branched polymer?
Amylopectin
Out of amylose and amylopectin, which one is a linear polymer?
Amylose
Out of amylose and amylopectin, which one is water-soluble?
Amylose
Out of amylose and amylopectin, which one is water-insoluble?
Amylopectin
Starch consists of what percentage of Amylose?
15-20%
Starch consists of what percentage of Amylopectin?
80-85%
In both amylose and amylopectin, glycosidic linkage occurs between which carbon atoms?
C_1 and C_4
In amylopectin, \alpha-linkage (branching) occurs between which carbon atoms?
C_1 and C_6
Cellulose is a polymer of _____
Cellulose is a polymer of \beta-D-Glucose
In cellulose, glycosidic linkage (\beta-linkage) is between which carbon atoms?
C_1 and C_4