1/5
Looks like no tags are added yet.
Name | Mastery | Learn | Test | Matching | Spaced | Call with Kai |
|---|
No analytics yet
Send a link to your students to track their progress
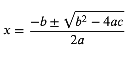
General Formula

Quadratic Function (Curved graphs)

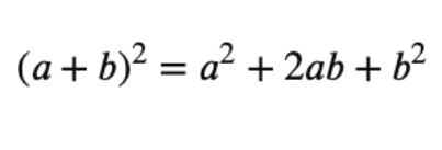
Algebraic Identities (a+b)2

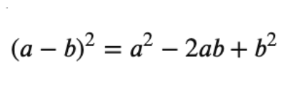
Algebraic Identities (a-b)2

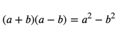
Algebraic Identities (a+b) (a-b)

Linear Function (of a straight-line graph)
m = gradient, c = y-intercept
