1/89
Mr Eaton full list
Name | Mastery | Learn | Test | Matching | Spaced | Call with Kai |
|---|
No analytics yet
Send a link to your students to track their progress
When can you use L’Hospital’s Theorem?
When the limit is ±∞/±∞ or 0/0
What does the Intermediate Value Theorem say?
If f(x) is continuous on [a, b], then f(c) exists between f(a) and f(b) such that c is between a and b
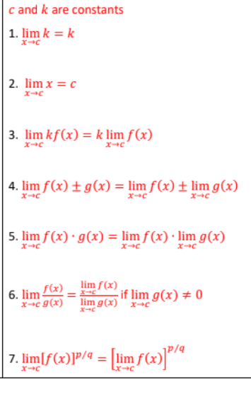
What are the 7 limit properties?

What is the Squeeze Theorem?

limx→0 (sinx/x)
1
limx→0 (1−cosx/x)
0
What is the average rate of change formula?
f(b) − f(a) / b − a
(d/dx)(uv)
u’v+u'v’
(d/dx)(u/v)
(u’v-uv’)/v2
(d/dx)(un )
nun-1 u’
(d/dx)(lul)
u/(lul)u’
(d/dx)(lnu)
1/u u’
(d/dx)(eu )
eu u’
(d/dx)(loga u)
1/(ln(a)u u’
(d/dx)(au )
au ln(a)u’
(d/dx)(sin(u))
cos(u)u’
(d/dx)(cos(u))
-sin(u)u’
(d/dx)(tan(u))
sec2 (u) u’
(d/dx)(cot(u))
-csc2 (u) u’
(d/dx)(sec(u))
tan(u)sec(u) u’
(d/dx)(csc(u))
-cot(u)csc(u) u’
(d/dx)(sin-1 (u))
1/√1−u2 u′
(d/dx)(tan-1 (u))
1/1+u2 u’
What is the definition of a derivative? (Give both)

Derivative of an inverse rule using f(x):
f′-1(x) = 1/ f′(f-1(x))
What does the Mean Value Theorem say?
If f(x) is differentiable on (a, b) and continuous on [a, b]
then c exists between (a, b) such that
f′(c) = f(b) − f(a)/b − a
What is the linearization (linear approximation)
formula?
L(x) = f(a) + f′(a)(x − a)
What does the first derivative test say?
When f’(x) changes from negative to positive f(x) has a
relative minimum value at that point.
When f’(x) changes from positive to negative f(x) has a
relative maximum value at that point.
What does the second derivative test say?
When f′′(c) < 0 then f(c) is a relative maximum.
When f′′(c) > 0 then f(c) is a relative minimum.
When f′′(c) = 0 then the test is inconclusive.
What does the extreme value theorem say?
If f(x) is continuous on the closed interval [a, b] and f(c) is the absolute maximum or minimum value on [a, b], then c is either a critical point or a or b.
∫ un du

∫ 1/u du

∫ eudu

∫ audu

∫ sin u du
-cos(u) +c
∫ cos u du
sin(u) +c
∫ sec u du

∫ csc u du

∫ tan u du

∫ cot u du

∫ sec2 u du

∫ csc2 u du

∫ sec u tan u du

∫ cscucotu du
-csc(u) +c
∫1/√a2−u2 du

∫ 1/a2+u2 du

What are the 6 integral properties?

What are the seven integration methods?
1. Fundamental Theorem of Calculus (FTC)
2. U-Substitution
3. Integration by Parts
4. Long Division
5. Partial Fractions
6. Completing the Square (rare)
7. Improper Integrals
∫uv’ dx
uv- ∫ u’ v dx
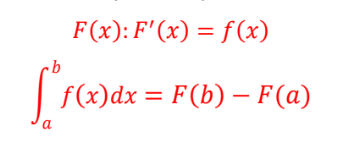
What is the definition of an integral? (Give both)

What does the FTC part 1 say?

What does the FTC part 2 say?

What is Euler’s method? Show a two-step method.
y(x0) = y0
y(x1) ≈ y1 = y0 + h ∙ f′(x0, y0)
y(x2) ≈ y2 = y1 + h ∙ f′(x1, y1)
What does a Logistic differential equation look like?
(dP/dt) = kP(A − P)
(dy/dx) = ky(A − y)
Show what separation of variables with the following
integral: (dy/dx) = f(y)g(x)
∫ (1/f(y)) dy = ∫ g(x)dx
How do you find the area between the two curves
f(x) and g(x) if f(x) > g(x)?

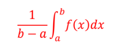
What is the average value formula?

What are the displacement and distance equations in
linear motion if given v(t)?
Displacement: ∫ v(t)dt
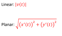
Distance: ∫|v(t)|dt
What are the first and second derivatives of the
position function s(t)?
s′(t) = v(t)
s′′(t) = a(t)
How do you find volume by perpendicular cross section?

If f(x) > g(x) > r then how do you use the washer method rotated around y = r?

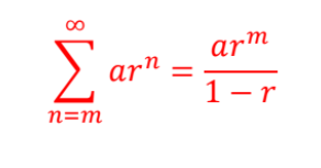
If you have the geometric series below and it converges, then what is the sum?

Write the Maclaurin Series for ex:

Write the Maclaurin Series for 1/(1−x):

What does the Limit Comparison Test say about
positive series?

What does the Ratio Test say about ∑ an?

What does the nth term test say? (2 ways)

What is a p-series and when does it converge?
∑ (1/np)
When p > 1
What is the harmonic series? Does it converge or
diverge?
∑ (1/n)
Diverges
What is true for the Comparison Test if 0 ≤ an ≤ bn
for all n ≥ N? (2 parts)
i) If ∑ bn converges, then ∑ an also converges.
ii) If ∑ an diverges, then ∑ bn also diverges.
What does the Alternating Series Error Bound say for
the partial sum of an alternating series up to aN?
error < |aN+1|

1. Continuous
2. Positive
3. Decreasing
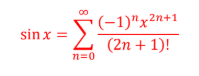
The Maclaurin Series for sin x is:

The Maclaurin Series for cos x is:

What is a Geometric series and when does it
converge?

What do power series look like?

What is the form of a Taylor polynomial for f(x)?
Give the first four terms.

What is the form of a Maclaurin polynomial for f(x)?
Give the first four terms.

What is the difference between a radius of
convergence and an interval of convergence?
Radius: |x − c| < R
Interval: c − R < x < c + R test endpoints to determine
if it is equal to as well.
What is the Lagrange Error Bound for the nth degree
Taylor Polynomial?


Integral:
Derivative:

In the following series when does the alternating
series test say that this converges?

What type of convergence happens when ∑|an|
converges and ∑ an converges?
Absolute convergence
What type of convergence happens when ∑|an| diverges and ∑ an converges?
Conditional convergence
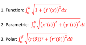
Write down the arc length formulas for the following
curves: Function, Parametric, Polar

What is the difference between speed in linear
motion and speed in planar motion?

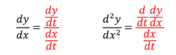
In parametric equations (dy/dx) and (d2y/dx2)

Given x(t) and y(t) what are the following vectors?: Position, Velocity, Acceleration
〈x(t), y(t)〉
〈x′(t), y′(t)〉
〈x′′(t), y′′(t)〉
What are the equations for all the following variables
in polar coordinates?: x, y, r, tan θ

What is the formula for area swept out by the polar
curve?
