1/143
Looks like no tags are added yet.
Name | Mastery | Learn | Test | Matching | Spaced | Call with Kai |
|---|
No analytics yet
Send a link to your students to track their progress
HBr

HBr

Br2
CCl4

HBr
ROOR
anti-mark

H3O+

H3O+

Br2
H2O

Hg(OAc)2 , H2O
NaBH4

BH3, THF
H2O2, OH-, H2O

OsO4
H2O2

KMnO4 (cold dilute)
OH-

RCO3H
H3O+

CH3OH
H+

Br2
CH3OH

Hg(OAc)2, CH3OH
NaBH4

RCO3H or MCPBA

H2, Pd/C

O3
(CHs)2S or Zn/H2O

O3
H2O2
or
KMnO4/heat
H3O+

H2
Pd/C

H2, Lindlar's catalyst

Na or Li
NH3(l)

1 eq HBr
1 eq HBr

1 eq HBr ---> 2nd eq HBr

1 eq Br2

HgSO4, H2SO4

HgSO4, H2SO4 -> Oxygen is added Markovnikov & HgSO4 is the catalyst because the reaction is so slow

Sia2BH, THF
H2O2, OH-, H2O

NaNH2

NaNH2

NaNH2

O3
H2O2
or
KMnO4/heat
H3O+

O3
H2O2
or
KMnO4/heat
H3O+

Br2
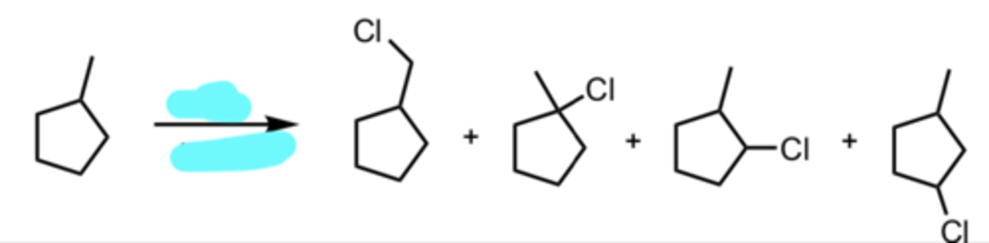
hv or heat
markovnikov

Cl2
hv or heat

NBS, hv or heat or ROOR

NBS, hv or heat or ROOR

hv or heat

hv or heat

hv or heat

hv or heat

hv or heat

CH3CH2MgX, Ether
H3O+

CH3CH2MgX, Ether
H3O+

2 eq. CH3CH2MgX, Ether
H3O+

2 eq. CH3CH2MgX, Ether
H3O+

CO2, ether
H3O+

CH3CH2MgX, Ether
H3O+

CH3CH2MgX, Ether
H3O+

CH3CH2MgX, Ether
H3O+

CH3CH2MgX, Ether
H3O+

CH3CH2Cl, AlCl3

CH3CH2CH2Cl, AlCl3

ClCOCH3
AlCl3

Br2
FeBr3

Cl2
FeCl3

HNO3
H2SO4

SO3
H2SO4
H2SO4/ heat

CO, HCl
AlCl3

substituent also o/p director =edg

substituent (M = EWG because those code for meta)

R-Cl or ClCOR
AlCl3

R-Cl or ClCOR
AlCl3

KMnO4, OH-
H3O+ / heat
or
Na2Cr2O7
H2SO4

KMnO4, OH-
H3o+, heat
or
Na2Cr2O7
H2SO4

H2NNH2 or N2H4, OH-,heat

Zn(Hg), HCl, Heat

Zn(Hg), HCl, Heat

CH3COOOCCH3
pyridine

NaBH4, EtOH
H3O+

LAH, EtOH
H3O+

NaBH4, EtOH
H3O+

LAH, EtOH
H3O+

LAH, EtOH
H3O+

LAH, EtOH
H3O+

DiBAL-H, -78
H2O

LAH, EtOH
H3O+

LAH (OC(CH3)3)3

LAH, EtOH
H3O+

Br2
NaOH
takes out the carbon with a double bonded O on it
LAH, EtOH
H3O+

HX

HX

PBr3

PBr3

SOCl2, pyridine (or PCl3 or PCl5)

SOCl2, pyridine

TsCl

H3O+

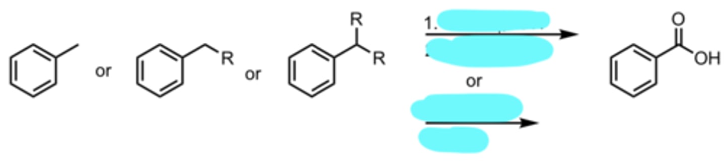
Na2Cr2O7 or CrO3
H2SO4

Na2Cr2O7 or CrO3
H2SO4

Na2Cr2O7 or CrO3
H2SO4

PCC or DMP

PCC or DMP

HIO4

HIO4

NaH, Na, or K

HBr

HBr

HBr
