1/22
Name | Mastery | Learn | Test | Matching | Spaced | Call with Kai |
|---|
No study sessions yet.

Proton Transfer

Bimolecular Nucleophilic Substitution (SN2)

Coordination

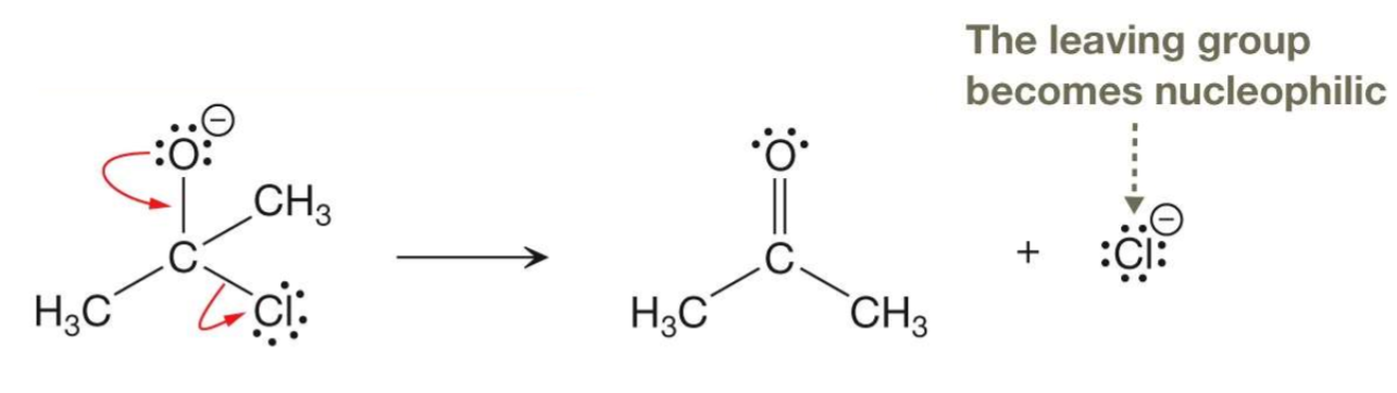
Heterolysis

Bimolecular Elimination (E2)

Nucleophilic Addition

Nucleophilic Elimination involving polar pi bond

Electrophilic Addition

Electrophile Elimination to form nonpolar pi bond

Carbocation Rearrangements
Nucleophile
“nucleus loving”, electron rich, looking to donate electron pair, looking to form a bond
Electrophile
“electron loving”, accepts an electron pair

SN2 example

Coordination example

Heterolysis example

Bimolecular Elimination (E2) example

Nucleophilic Addition example

Nucleophilic Elimination involving polar pi bond example

Electrophilic Addition example

Electrophile Elimination to form nonpolar pi bond example

Carbocation Rearrangements example

1,2-hydride shift

1,2-methyl shift