Exam 2 Biochem Structures

0.0(0)
studied byStudied by 0 people
full-widthCall with Kai
GameKnowt Play
learnLearn
examPractice Test
spaced repetitionSpaced Repetition
heart puzzleMatch
flashcardsFlashcards
Card Sorting

1/50

flashcard set

Earn XP

Description and Tags

made by me

Study Analytics
Name
Mastery
Learn
Test
Matching
Spaced

No study sessions yet.

51 Terms

1
New cards

A DNA

DNA:RNA hybrida and RNA:RNA hybrids

11 bp per turn

right-handed helix

short and squat compared to B DNA

<p>DNA:RNA hybrida and RNA:RNA hybrids</p><p>11 bp per turn</p><p>right-handed helix</p><p>short and squat compared to B DNA</p>
2
New cards

B DNA

polynucleotide strands are antiparallel

bases in opposing strands are complementary

10 bp per turn

helix coils clockwise- right handed

major and minor grooves

<p>polynucleotide strands are antiparallel</p><p>bases in opposing strands are complementary</p><p>10 bp per turn</p><p>helix coils clockwise- right handed</p><p>major and minor grooves</p>
3
New cards

Z DNA

left handed helix

12 bp per turn

thin and elongated compared to B DNA

can occur next to A or B form in DNA

forms with alternating G-C residues

<p>left handed helix</p><p>12 bp per turn</p><p>thin and elongated compared to B DNA</p><p>can occur next to A or B form in DNA</p><p>forms with alternating G-C residues</p>
4
New cards

5 nitrogenous bases

knowt flashcard image
5
New cards

oxynucleic acids

C2 has OH group

6
New cards

deoxynucleic acids

C2 has H group

7
New cards

anti base orientation

favored

<p>favored </p>
8
New cards

syn base orientation

knowt flashcard image
9
New cards

diastereomers

stereoisomers, or molecules with the same chemical formula and connectivity but different spatial arrangements, that are not mirror images of each other

10
New cards

epimers

diastereomers that differ only at 1 chiral center

11
New cards

alpha anomers

C1 and C6 are opposite direction

12
New cards

beta anomers

C1 and C6 are same direction

13
New cards

sugar alcohols

mild reduction of an aldehye or ketone to an alcohol

add itol to parent sugar name

14
New cards

reducing disaccharides

end of molecule with free anomeric carbon

15
New cards

nonreducing disaccharides

other end of the molecule

16
New cards

glycosidic linkages

a type of covalent bond that joins a carbohydrate (monosaccharide) to another group, which can be another carbohydrate, forming a disaccharide or polysaccharide, or another molecule

17
New cards

aldose

C double bond O at C1

<p>C double bond O at C1</p>
18
New cards

ketose

C double bond O at C2

<p>C double bond O at C2</p>
19
New cards

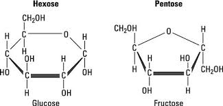
pentose

ring of 5 Cs

<p>ring of 5 Cs</p>
20
New cards

hexose

ring of 6 Cs

<p>ring of 6 Cs</p>
21
New cards

D-glucose

knowt flashcard image
22
New cards

D-ribose

knowt flashcard image
23
New cards

D-galatose

knowt flashcard image
24
New cards

D-fructose

knowt flashcard image
25
New cards

D-glyceraldehyde

knowt flashcard image
26
New cards

saturated fatty acids

single bonds

27
New cards

arachidonic acid

20:4 delta 5,8,11,14

cis

unsaturated fatty acid

<p>20:4 delta 5,8,11,14</p><p>cis</p><p>unsaturated fatty acid</p>
28
New cards

bile salt

net charge -1

<p>net charge -1</p>
29
New cards

cholesterol

steroid

terpene based

animal cell membranes

lipoprotein complexes in blood 

net charge 0

covalently attached to proteins to anchor themselves to the membrane

<p>steroid</p><p>terpene based</p><p>animal cell membranes</p><p>lipoprotein complexes in blood&nbsp;</p><p>net charge 0</p><p>covalently attached to proteins to anchor themselves to the membrane</p>
30
New cards

digylceride

knowt flashcard image
31
New cards

diterpene

20 carbons

<p>20 carbons</p>
32
New cards

myrisitic acid

14:0

saturated

covalently attached to proteins to anchor themselves to the membrane

<p>14:0</p><p>saturated</p><p>covalently attached to proteins to anchor themselves to the membrane</p>
33
New cards

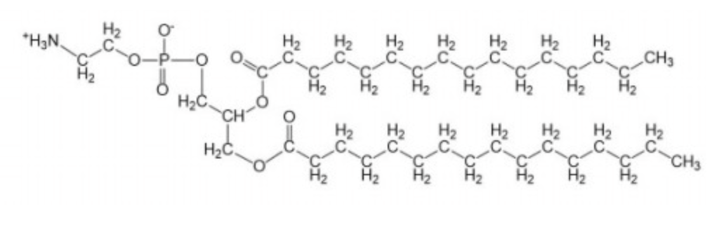
phosphatidic acid

the parent compound

glycerol, two fatty acids and phosphate

fatty acid on C-1 is saturated

fatty acid on C-2 is unsaturated or saturated

<p>the parent compound</p><p>glycerol, two fatty acids and phosphate</p><p>fatty acid on C-1 is saturated</p><p>fatty acid on C-2 is unsaturated or saturated</p>
34
New cards

phosphatidyl choline

most common phospholipid

uncharged at pH 7

increases membrane fluidity

<p>most common phospholipid</p><p>uncharged at pH 7</p><p>increases membrane fluidity</p>
35
New cards

phosphatidyl ethanolamine

uncharged at pH 7

most common lipid in the cell membrane of a red blood cell (erythrocyte)

<p>uncharged at pH 7</p><p><span>most common lipid in the cell membrane of a red blood cell (erythrocyte)</span></p>
36
New cards

phosphatidyl inositol

net charge -1

<p>net charge -1</p>
37
New cards

phosphatidyl serine

net charge -1

<p>net charge -1</p>
38
New cards

polyprenol

long chain polyisoprenoids plus terminal alcohol

glycoprotein and vitamin synthesis

<p>long chain polyisoprenoids plus terminal alcohol</p><p>glycoprotein and vitamin synthesis</p>
39
New cards

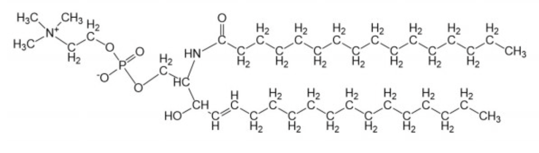
sphingomyelin

~85% of all sphingolipids in man

nervous system and red blood cells

second most common lipid in plasma membrane

has a phosphocholine group

uncharged at pH 7

<p>~85% of all sphingolipids in man</p><p>nervous system and red blood cells</p><p>second most common lipid in plasma membrane</p><p>has a phosphocholine group</p><p>uncharged at pH 7</p>
40
New cards

sphinogsine

18C amino alcohol

trans config of C4=C5 

count carbons from hydroxyl

net charge +1

<p>18C amino alcohol</p><p>trans config of C4=C5&nbsp;</p><p>count carbons from hydroxyl</p><p>net charge +1</p>
41
New cards

tetraterpene

40 carbons

<p>40 carbons</p>
42
New cards

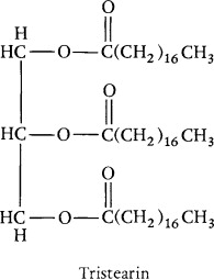
triglyceride

simple: all 3 fatty acids the same

mixed: not all fatty acids

<p>simple: all 3 fatty acids the same</p><p>mixed: not all fatty acids</p>
43
New cards

triterpene

30 carbons

<p>30 carbons</p>
44
New cards

sugar acids

oxidation at C1 position of sugar

oxidation at C6 position of sugar

Oxidation at C1 and C6 position of sugar

aldehyde that is a reducing sugar becomes oxidized

45
New cards

deoxysugars

one or more hydroxyl groups on sugar molecules are replaced by H

46
New cards

amino sugars

amino group at C2 position

47
New cards

unsaturated fatty acids

from 1 to 4 double bonds

naturally occurring have cis conformation

synthetic fatty acids have trans conformation

48
New cards

palmitic acid

16:0

saturated

covalently attached to proteins to anchor themselves to the membrane

<p>16:0</p><p>saturated</p><p>covalently attached to proteins to anchor themselves to the membrane</p>
49
New cards

stearic acid

18:0

saturated

<p>18:0</p><p>saturated</p>
50
New cards

ceramide

sphinogsine and fatty acid via amide linkage

<p>sphinogsine and fatty acid via amide linkage</p>
51
New cards

Terpene

simple lipids with no fatty acid components

composed of 2 or more isoprene (C5) units

straight chains or cyclic molecules

<p>simple lipids with no fatty acid components</p><p>composed of 2 or more isoprene (C5) units</p><p>straight chains or cyclic molecules</p><p></p>