1/19
1. Describe the mechanism of action of 5-fluorouracil. 2. Differentiate the rationale for the use of leucovorin with methotrexate therapy versus 5- fluorouracil therapy. 3. Compare and contrast the mechanism of activation of 5-fluorouracil, floxuridine, and capecitabine. 4. Describe the mechanism of action and use of uridine triacetate. 5. Compare and contrast the mechanism of action of 5-fluorouracil and trifluridine. 6. Describe the mechanism of action of tipiracil and why it is used in combination with trifluridine.
Name | Mastery | Learn | Test | Matching | Spaced |
|---|
No study sessions yet.

Orotic acid, first substrate in the pathway for dUMP synthesis.

5-Fluorouracil enters the dUMP synthesis pathway at the orotic acid stage.

Dihydro-5-FU: inactive metabolite of 5-FU via dihydropyrimidine dehydrogenase (genetically polymorphic). About 80% of 5-FU is hepatically metabolized to this inactive metabolite.

FUMP: 5-FU is directly concerted to FUMP via phosphoribosyl transferase (PRPP) and via FUMP is formed from 5-FU with FUR as an intermediate.

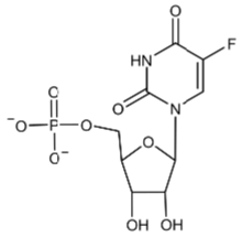
Fluoruracil (5-FU): Prodrug with 5-FdUMP being the active compound. DNA damage: causing cytotoxicity of just cancerous cells. RNA damage: leading to ADRs (GI toxicity: mucocistis and diarrhea and Bone marrow toxicity: cytopenias)

5-FdUMP (active compound of 5-FU): inhibits the enzyme thymidylate synthase

Mechanism of 5-fluorouracil inhibition of thymidylate synthase. FdUMP-thymidylate synthase (TS) complex covalently binds cofactor N5,N10-methylene FH4. This tertiary complex depletes dTMP.

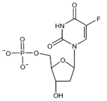
Floxuridine: prodrug for 5-FdUMP via thymidine kinase to inhibit thymidylate synthase. Does not liberate 5-FU. Floxuridine is highly water soluble. Exclusive use: hepatic artery admin (decreases systemic toxicity) to Tx colon cancer that is metastatic to the liver.

Capecitabine: oral prodrug of 5-FU which generates 5-FU selectively in tumor cells. 100% oral bioavailability.

Activation of Capectiabine to 5-FU via thymidine phosphorylase (activity is stimulated with radiation, increased selectivity with capecitabine to liberate 5-FU in cancer cells. its 2.5x overexpressed in cancer cells). 5-FU is converted FdUMP which is a thymidylate synthase inhibitor giving it its therapeutic action.

Uridine triacetate (Vistogard): Emergency tx of 5-FU of capecitabine overdose or severe toxicity that occurs within 96 hours. Prodrug to active uridine via esterase hydrolysis. Excess of UTP which compete with FUTP for incorporation into RNA to stop toxicity. Lipophilic and quickly absorbed through GI tract.

Trifluridine/tipiracil (Lonsurf - oral tablet): pyrimidine antagonist. Primarily incorporation into DNA, as trifluridine triphosphate, and inhibition DNA polymerase. Smaller role: reversible inhibition of thymidylate synthase.

Tipiracil: Thymidine phosphorylase inhibitor. This drug increases the oral bioavailability of trifluridine and decreases the formation of new blood vessels.

Tipiracil inhibition TP (thymidine phosphorylase) is also called Platelet-derived endothelial cell growth factor (PD-ECGF). TP/PD-ECGF is a potent pro-angiogenic factor that promotes tumor growth.

Cytarabine (ARA-C): pyrimidine antagonists (cytidine analogs) and uses ENT1= equilibrative nucleotide transporter 1. Administered with inhibitors of ribonucleotide reductase b/c it potentiates cytarabines activity. This decreases dCTP leading to decreased competition for cytarabine get into DNA (incorporation).

Inhibitors of ribonucleotide reductase decreases deoxycytidine diphosphate (dCDP) leading to decreased competition for cytarabine’s incorporation into DNA.

Gemcitabine: Enters cell via ENT1 and is triphosphorlyated to be incorporated into DNA to inhibit DNA polymerase. Gemcitabine diphosphate inhibits ribonucleotide reductase decreasing dCDP (deoxycytidine diphosphate).
Leucovorin + Fluorouracil (5-FU)
Leucovorin stabilizes the 5-FU–thymidylate synthase complex, enhancing 5-FU’s inhibition of DNA synthesis and potentiating its cytotoxic effect in colon cancer.
Capecitabine + Radiation Therapy
Radiation increases thymidine phosphorylase in tumor cells, which converts capecitabine to 5-FU, enhancing tumor-selective cytotoxicity.
Tipiracil + Trifluridine vs. Capecitabine
Tipiracil inhibits thymidine phosphorylase, preventing trifluridine degradation. If combined with capecitabine, it would reduce capecitabine activation (also thymidine phosphorylase-dependent), decreasing its efficacy.