Bio 97 Midterm 1

0.0(0)
studied byStudied by 0 people
full-widthCall with Kai
GameKnowt Play
learnLearn
examPractice Test
spaced repetitionSpaced Repetition
heart puzzleMatch
flashcardsFlashcards
Card Sorting

1/103

flashcard set

Earn XP

Description and Tags

f my stupid chuzz life

Study Analytics
Name
Mastery
Learn
Test
Matching
Spaced

No study sessions yet.

104 Terms

1
New cards

which organisms contain double stranded DNA genomes?

most life, except some viruses

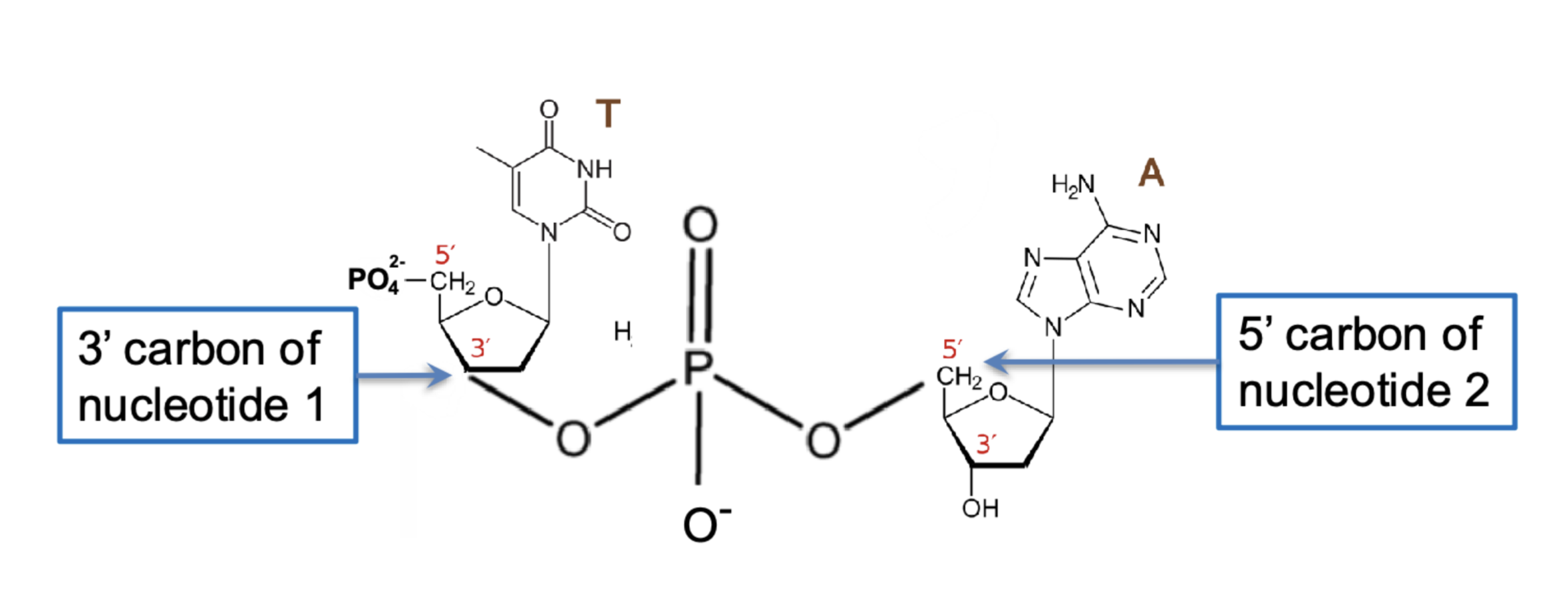
2
New cards

where do phosphodiester bonds link?

forms between the phosphate group on the 5’ carbon of one nucleotide’s sugar and the hydroxyl (-OH) on the 3’ carbon of the next nucleotide’s sugar —> creates the sugar phosphate backbone

<p>forms between the phosphate group on the 5’ carbon of one nucleotide’s sugar and the hydroxyl (-OH) on the 3’ carbon of the next nucleotide’s sugar —&gt; creates the sugar phosphate backbone </p>
3
New cards

which organisms contain single stranded DNA genomes?

parvoviruses and circoviruses

4
New cards

which organisms contain single stranded RNA genomes?

coronaviruses, poliovirus, coxsackie virus, rhinoviruses, Hep A virus

5
New cards

which organisms contain double stranded RNA genomes?

rotaviruses

6
New cards

which organisms experience change in genome (ssRNA —> dsDNA —> ssRNA genome)?

retroviruses

7
New cards

components of a nucleotide (what DNA and RNA consists of)

phosphate group, sugar, nitrogenous base

8
New cards

what are the two types of nitrogenous bases and how to differentiate them?

  • purine —> guanine and adenine (pure as gold) —> 2 rings

  • pyrimidine —> cytosine, uracil, thymine (CUT the pie) —> 1 ring (pie shaped)

9
New cards

which bases are found in DNA and RNA?

cytosine, guanine, adenine

10
New cards

which base is found only in DNA?

thymine

11
New cards

which base is found only in RNA?

uracil

12
New cards

how are nucleotides linked?

phosphodiester bonds

13
New cards

what reaction is involved in phosphodiester bond formation?

dehydration synthesis/condensation —> water molecule released

<p>dehydration synthesis/condensation —&gt;&nbsp;water molecule released</p>
14
New cards

how do ester bonds relate to phosphodiester bonds?

a phosphodiester bond = phosphate group linking two sugars via ester bonds

<p>a phosphodiester bond = phosphate group linking two sugars via ester bonds </p>
15
New cards

where is the next nucleotide being attached to?

the 3’ OH of the previous nucleotide 

16
New cards

DNA is a double helix of ____ strands

antiparallel

<p>antiparallel </p>
17
New cards

how are two strands of DNA held?

h-bonds formed between complementary base pairs

18
New cards

what base pairs with what?

  • A pairs with T (apples in the tree) —> 2 h-bonds

  • G pairs with C (cars in the garage) —> 3 h-bonds

  • A pairs with U (RNA)

19
New cards

why are h-bonds used between complementary base pairs?

cuz they are non covalent and relatively weak —> can separate at high enough temperatures or unzipped for DNA replication

20
New cards

why are partial charges necessary for h-bonding between base pairs in DNA?

  • h-bond donor has slightly positive hydrogen attached to electronegative atom

  • h-bond acceptor has slightly negative atom with a lone pair

  • attractive between slightly positive H and slightly negative (N/O) form h-bonds holding base pairs

21
New cards

5’ AGCTTCCC 3’

3’ TCGAAGGG 5’

22
New cards

is the new strand of replicated DNA the same as the old strand?

no cuz of complementary base pairing (different base pairs) but the new strand can be used template to make the old strand

23
New cards

what happens if you start with a ds DNA molecule and make a complement of each strand?

you end with two double-helical daughter molecules that are identical copies of their mother —> each daughter strand contains one strand from mother and one newly synthesized strand 

24
New cards

semi conservative replication

  • DNA replication

  • each DNA separates and is a template for a new complementary strand

  • after 1st cycle —> each DNA molecule has one old and one new strand 

  • after 2nd cycle —> half of the molecules are hybrid (one old and one new) and the other half are completely new 

  • confirmed by Meselson-Stahl experiment 

<ul><li><p>DNA replication</p></li><li><p>each DNA separates and is a template for a new complementary strand</p></li><li><p>after 1st cycle —&gt; each DNA molecule has one old and one new strand&nbsp;</p></li><li><p>after 2nd cycle —&gt; half of the molecules are hybrid (one old and one new) and the other half are completely new&nbsp;</p></li><li><p>confirmed by Meselson-Stahl experiment&nbsp;</p></li></ul><p></p>
25
New cards

how is a new DNA strand synthesized?

  • synthesized one nucleotide at a time

  • deoxynucleoside triphosphates (dNTPs) used to make reaction thermodynamically favorable

  • polymerization 5’ to 3’ (remember that nucleotides are added to 3’ OH)

  • done by DNA polymerase 

26
New cards

what are dNTPs?

deoxynucleoside triphosphates

  • has a nitrogenous base, deoxyribose sugar, three phosphates

  • when DNA polymerase adds nucleotide to 3’ OH it uses the energy stored in dNTP ‘s phosphate bonds to break off two phosphates

  • remaining phosphate links the new nucleotide through phosphodiester bond 

27
New cards

can DNA polymerase start off by itself?

no they need an RNA or DNA primer

<p>no they need an RNA or DNA primer</p>
28
New cards
<p>if the dark blue strand is the template and the light blue is the growing, which of the bases was recently added to the growing strand?</p>

if the dark blue strand is the template and the light blue is the growing, which of the bases was recently added to the growing strand?

B (the thymine) cuz it is the 3’ OH

29
New cards

what is PCR?

polymerase chain reaction

  • DNA replication in a test tube

  • number of copies of the molecule that’s being replicated doubles each cycle

30
New cards

what is PCR used for?

  • pre-implantation genetic diagnosis

  • forensics

  • screening blood products for diseases

  • viral infections in monkeys by collected feces

  • sequencing the neanderthal genome 

  • test for presence for virus causing COVID-19

31
New cards

what does PCR require?

  • sequence-specific primers (must know part of the DNA sequence)

  • primer must be made of DNA

  • special polymerase

32
New cards

is PCR semiconservative?

yes

33
New cards

how much DNA is made per cycle using PCR?

doubles amount of DNA each cycle —> cycles of polymerization must repeat to amplify DNA

<p>doubles amount of DNA each cycle —&gt; cycles of polymerization must repeat to amplify DNA </p>
34
New cards

what are the three steps of PCR?

denaturation, annealing, extension

<p>denaturation, annealing, extension</p>
35
New cards

denaturation (step 1 PCR)

  • 95C (heat added)

  • DNA strands separate/melt into single strands

36
New cards

annealing (step 2 PCR)

  • 50C (depends on primer) (heat removed)

  • primers anneal/bind to complementary sequences on the template strands

37
New cards

extension (step 3 PCR)

  • 72C (heat added)

  • polymerase does it things (replication starts)

38
New cards

why do we need PCR?

we need more DNA and we need to measure the size of a piece of target DNA

39
New cards

what is sanger sequencing/dideoxy DNA sequencing?

method used to determine exact nucleotide sequence of a DNA strand

40
New cards

how does dideoxy DNA sequencing work?

  • dideonucleotide triphosphate (ddNTP) lacks a 3’ OH (hydrogen is there instead)

  • without the OH, phophodiester bond cannot form

  • DNA replication stops (chain termination)

  • DNA is copied in presence of other normal dNTPs and some fluorescently labeled ddNTPs

  • ddNTP gets added sometimes instead of dNTP, stops the chain at specific base

  • DNA fragments of different lengths made 

  • the glowing fragments lets scientists read the different DNA sequences 

41
New cards

are there more ddNTPs than dNTPs?

no ddNTPs are present at lower concentrations for better control (we need more dNTPs cuz they build the strand)

42
New cards

DNA replication steps

  1. helicase breaks h-bonds and topoisomerase relaxes supercoiling

  2. single-stranded protein prevents reannealing

  3. primase synthesizes RNA primers

  4. DNA polymerase III synthesizes daughter strand

  5. DNA polymerase III elongates the leading strand continuously and the lagging strand discontinuously 

  6. DNA polymerase I removes and replaces nucleotides of the RNA primer

  7. DNA ligase joins Okazaki fragments 

<ol><li><p>helicase breaks h-bonds and topoisomerase relaxes supercoiling</p></li><li><p>single-stranded protein prevents reannealing</p></li><li><p>primase synthesizes RNA primers</p></li><li><p>DNA polymerase III synthesizes daughter strand</p></li><li><p>DNA polymerase III elongates the leading strand continuously and the lagging strand discontinuously&nbsp;</p></li><li><p>DNA polymerase I removes and replaces nucleotides of the RNA primer</p></li><li><p>DNA ligase joins Okazaki fragments&nbsp;</p></li></ol><p></p>
43
New cards

what are replication origins?

sites where DNA synthesis initiates in cells

<p>sites where DNA synthesis initiates in cells</p>
44
New cards

how many replication origins do eukaryotic chromosomes have?

a lot 

  • human genome has >10,000 origins that are 50,000 base pairs apart \

  • allows for replication to speed up 

45
New cards

is DNA replication in both directions at once?

yes

46
New cards

leading vs lagging strand on the replication fork

  • leading strand is synthesized continuously until it encounters the 5’ end of the adjacent replication bubble

  • lagging strand is synthesized in shorter pieces and ligated together (phosphodiester bonds via ligase)

<ul><li><p>leading strand is synthesized continuously until it encounters the 5’ end of the adjacent replication bubble</p></li><li><p>lagging strand is synthesized in shorter pieces and ligated together (phosphodiester bonds via ligase)</p></li><li><p></p></li></ul><p></p>
47
New cards

DNA replication in cells vs PCR/dideoxy sequencing

Both

  • need template, primers, DNA polymerase, nucleotides

DNA replication in cells

  • RNA = primer

  • enzymes unwind DNA duplex

  • replication origins, replication forks, leading and lagging strand

  • multiple enzymes and proteins involved

PCR/dideooxy sequencing

  • DNA primers

  • heat unwinds the DNA

  • no replication origins, forks, leading and lagging strands —> all strands are leading

  • only DNA polymerase needed 

48
New cards

what is the central dogma?

DNA —> transcription —> RNA —> translation —> protein

49
New cards

importance of proteins

  • give us our phenotype

  • they are enzymes, structural components of cells, etc.

  • which ones we have and how much we have of them determine how we function and how we look

  • DNA controls our phenotype by encoding proteins

50
New cards

what other factors influence phenotype?

non-coding RNAs (tRNAs, rRNAs, microRNAs, IncRNAs)

51
New cards

gene expression

conversion of a gene into a product (protein via an RNA intermediate) —> transcription and translated into protein

52
New cards

how does expression vary among genes?

some genes are expressed all the time and some are only expressed in response to external or integral conditions or signals 

53
New cards

do each cell of a multicellular organism contain the same DNA/genes?

yes BUT different cells express different genes and thus different proteins

  • only a subset of genes are expressed in a given cell type

  • only a subset of those genes are expressed at a given time

54
New cards

housekeeping genes

expressed in all cells

55
New cards

cell-type specific genes

expressed in certain cells (neurons, muscle cells, blood cells)

56
New cards

transcription

process of RNA being synthesized from DNA template using RNA polymerase 

57
New cards

what is the direction of RNA synthesis?

5’ to 3’ 

58
New cards

what are differences between DNA and RNA?

DNA

  • composed of dNMPs

  • synthesized from dNTPs

RNA

  • composed of NMPs

  • synthesized from NTPs

  • uracil used instead of thymine

59
New cards

how does the DNA coding (nontemplate) strand and the mRNA template relate?

they have same polarity and sequence EXCEPT each T in the coding strand appears as a U

60
New cards
<p>label A, B, C</p>

label A, B, C

A = coding/nontemplate sense strand 

B = noncoding/template antisense strand

C = mRNA 

61
New cards
<p>where is the new nucleotide added?</p>

where is the new nucleotide added?

3’ end of the mRNA growing strand (G)

62
New cards

5’ GGUUACAUUC ‘3 is the RNA transcript strand, the coding strand is…

5’ GGTTACATTC 3’

63
New cards

5’ GGUUACAUUC ‘3 is the RNA transcript strand, the template strand is…

5’ GAATGTAACC 3’

64
New cards

how does RNA polymerase know where to start transcription?

uses promoter

  • (in prokaryotes) —> promoter consists of -10 sequence and -35 sequence (RNA polymerase binds to these two)

  • amino acid residues in protein use h-bonds, electrostatic interactions, and hydrophobic interactions to recognize these sequences

  • determines when transcription starts and direction in which it proceeds

<p>uses promoter</p><ul><li><p>(in prokaryotes) —&gt; promoter consists of -10 sequence and -35 sequence (RNA polymerase binds to these two)</p></li><li><p>amino acid residues in protein use h-bonds, electrostatic interactions, and hydrophobic interactions to recognize these sequences</p></li><li><p>determines when transcription starts and direction in which it proceeds </p></li></ul><p></p>
65
New cards

does transcription start upstream or downstream the promoter?

downstream

66
New cards

is the sequence of the -10 and -35 boxes different in different genes?

yes —> consensus sequence of each box can be found by aligning the promoter regions of multiple genes 

<p>yes —&gt; consensus sequence of each box can be found by aligning the promoter regions of multiple genes&nbsp;</p>
67
New cards

how else are eukaryotic genes regulated?

by other sequences in the DNA called enhancers and silencers

68
New cards

where are enhancers and silencers located?

varies —> some close to promoter or far upstream or downstream

69
New cards

what do enhancers and silencers contain?

binding sites for specialized proteins called transcription factors

70
New cards

transcription steps

  1. RNA polymerase binds to -10 (TATA box) and -35 promoter consensus sequences

  2. DNA unwinds near the transcription start site to form open promoter sites

  3. RNA polymerase initiates transcription and begins RNA synthesis

  4. continues until it encounters termination sequence —> as RNA synthesis progresses the DNA duplex unwinds to allow the template strand to direct RNA assembly 

71
New cards

prokaryote vs eukaryote mRNAs

  • each eukaryote mRNA encodes for a single protein 

  • prokaryote mRNA can be polycistronic (code for multiple proteins)

72
New cards

what is added as the primary transcript is processed into mRNA in eukaryotes?

5’ cap and polyA tail added

<p>5’ cap and polyA tail added </p><p></p>
73
New cards
<p>what other modification occurs as primary transcript is processed into mRNA in eukaryotes?</p>

what other modification occurs as primary transcript is processed into mRNA in eukaryotes?

mRNA splicing

  • introns are splices out 

  • occurs at sites determined by consensus sequences

  • multiple proteins needed to cut and paste 

  • takes place in nucleus

  • splices out introns degraded and nucleotides recycled

  • splicing patterns vary under different conditions (alternative splicing)

  • introns larger than exons

  • links up exons from within a given gene, not exons within different genes

  • re

<p>mRNA splicing</p><ul><li><p>introns are splices out&nbsp;</p></li><li><p>occurs at sites determined by consensus sequences</p></li><li><p>multiple proteins needed to cut and paste&nbsp;</p></li><li><p>takes place in nucleus</p></li><li><p>splices out introns degraded and nucleotides recycled</p></li><li><p>splicing patterns vary under different conditions (alternative splicing)</p></li><li><p>introns larger than exons</p></li></ul><p></p><ul><li><p>links up exons from within a given gene, not exons within different genes</p></li><li><p>re</p></li></ul><p></p>
74
New cards

what happens during alternative splicing? 

same transcript can be splices differently and give rise to different proteins (order of exons remain the same, results in the inclusion or exclusion an exon) —> forms of proteins can have different functions

  • does not result in duplication of an exon in the mature mRNA 

75
New cards

what doe exons contain/encode?

  • 5’ and 3’ UTR

  • protein coding sequence (CDS)

76
New cards

translation

take instructions in mRNAs and use to build proteins

77
New cards

building blocks of the fundamental dogma

replication —> DNA nucleotides

transcription —> RNA nucleotides

translation —> amino acids

78
New cards

what are proteins composed of?

amino acids —> 20 different AAs

  • protein = linked in a chain by peptide bonds —> typical protein is 450 AA long 

  • start as a linear chain of AAs —> will fold into complicated 3-D structures 

79
New cards

what are the components of an amino acid?

amino group, carboxyl group, side chain (R) group

80
New cards

what kind of reaction is peptide bond formation?

dehydration synthesis reaction

<p>dehydration synthesis reaction</p><p></p>
81
New cards

direction of protein synthesis

amino (N) terminus to carboxyl (C) terminus

<p>amino (N) terminus to carboxyl (C) terminus </p>
82
New cards

how is protein sequence encoded in DNA/RNA?

  • protein coding region of an mRNA is made up of non-overlapping nucleotide triplets (codons) which each correspond to an AA

<ul><li><p>protein coding region of an mRNA is made up of non-overlapping nucleotide triplets (codons) which each correspond to an AA</p></li></ul><p></p>
83
New cards

the universal genetic code

  • 64 codons 

  • 61 codons for 20 AA (redundancy occurs)

  • AUG = start codon —> makes methionine (M)

  • 3 stop codons —> signal end of coding sequence reached 

84
New cards

what are key players in translation?

  • ribosomes

  • tRNAs (transfer RNAs)

  • aminoacyl tRNA synthetases 

85
New cards

what are ribosomes composed of?

  • they are machines composed of 3-4 rRNAs (ribosomal RNAs) and over 50 proteins

  • large and small subunits

  • have channels that hold RNA and nascent polypeptide

86
New cards

what are the functions of ribosomes?

  • bind mRNA and identify the start codon for translation (mRNA read from 5’ —> 3’)

  • help bring about complementary pairing between mRNA codons and tRNA anti-codons

  • catalyze peptide bond formation between AA

87
New cards

what do tRNAs do?

pair codons with AAs

—> becomes charged when attached to AA

<p>pair codons with AAs</p><p>—&gt; becomes charged when attached to AA</p>
88
New cards

aminoacyl tRNA synthetases

enzymes that recognize the anticodon and correct (cognate) AA and then attach this AA to the tRNA

<p>enzymes that recognize the anticodon and correct (cognate) AA and then attach this AA to the tRNA</p>
89
New cards

what are the three phases of translation?

initiation, elongation, termination

90
New cards

step 1 translation (initiation)

  • initiation complex —> small ribosomal subunit and initiator Met-tRNA binds to 5’ cap on mRNA

  • initiation complex scans along mRNA 5’ to 3’ until AUG is found

  • large subunit binds

  • initiating methionine is tRNA is on the P (peptidyl site)

91
New cards

what are the tRNA binding sites in the ribosome?

  • peptidyl (P) site —> holds tRNA to which the growing polypeptide chain is attached

  • acceptor (A) site —> binds tRNA carrying the next AA to be added

  • exit (E) site —> empty tRNAs leave from here (large subunit shifts) after their AA has been added 

<ul><li><p>peptidyl (P) site —&gt; holds tRNA to which the growing polypeptide chain is attached</p></li><li><p>acceptor (A) site —&gt; binds tRNA carrying the next AA to be added</p></li><li><p>exit (E) site —&gt; empty tRNAs leave from here (large subunit shifts) after their AA has been added&nbsp;</p></li></ul><p></p>
92
New cards

step 2 translation (elongation)

  • new tRNA enters A site

  • peptide bond formed between AA in the A and P site 

  • ribosome moves one codon —> tRNA in P site moves to E site and tRNA in A site moves to P site 

  • tRNA in E site exits

  • next tRNA enters A site —> repeat 

93
New cards

step 3 translation (termination)

  • release factors are recruited when a stop codon occurs at the A site

  • eRF fills the A site and triggers release of the newly made polypeptide by hydrolysis of GTP 

  • ribosome dissociates and mRNA release

  • the portion of the mRNA after the stop codon is 3’ UTR 

94
New cards

the anticodon is part of the…

tRNA

95
New cards
<p>what is the red box?</p>

what is the red box?

codon for Thr

96
New cards
<p>what is the red box around?</p>

what is the red box around?

anticodon for His (GUA —> CAO (codon) —> His)

97
New cards

what is the anticodon for the Thr codon ACC?

5’ GGU 3’

98
New cards

where are proteins translated in eukaryotes?

mRNA processed in nucleus, then splicing, then exported to cytoplasm where it is translated

99
New cards

where are proteins translated in prokaryotes?

transcription and translation coupled (cuz there is no nucleus in bacteria)

<p>transcription and translation coupled (cuz there is no nucleus in bacteria)</p>
100
New cards

are there many ribosomes on a single mRNA?

yes —> entities are polysomes

  • train of ribosomes move along mRNA

  • researchers can isolate polysomes from cells and figure out which mRNA are being actively translated

<p>yes —&gt; entities are polysomes </p><ul><li><p>train of ribosomes move along mRNA</p></li><li><p>researchers can isolate polysomes from cells and figure out which mRNA are being actively translated </p></li></ul><p></p>