1/663
Looks like no tags are added yet.
Name | Mastery | Learn | Test | Matching | Spaced |
|---|
No study sessions yet.
Evolution
Evolution is the process of change that has transformed life on Earth
DNA
Deoxyribonucleic acid: a long linear polymer found in the nucleus of a cell and formed from nucleotides and shaped like a double helix

Biology
The scientific study of life
Eukaryotic Cell
A type of cell with a membrane-enclosed nucleus and membrane-enclosed organelles. Organisms with eukaryotic cells (protists, plants, fungi, and animals) are called eukaryotes.

Prokaryotic Cell
A type of cell lacking a membrane-enclosed nucleus and membrane-enclosed organelles. Organisms with prokaryotic cells (bacteria and archaea) are called prokaryotes.

Biosphere
The entire portion of Earth inhabited by life; the sum of all the planet's ecosystems.
Ecosystems
All the organisms in a given area as well as the abiotic factors with which they interact; one or more communities and the physical environment around them
Community
All the organisms that inhabit a particular area; an assemblage of populations of different species living close enough together for potential interaction.
Population
A group of individuals of the same species that live in the same area and interbreed, producing fertile offspring.
Organism
a creature such as a plant, animal or a single-celled life form, or something that has interdependent parts and that is being compared to a living creature
Organs
A specialized center of body function composed of several different types of tissues.
Organ Systems
A group of organs that work together in performing vital body functions.
Tissues
An integrated group of cells with a common structure, function, or both.
Organelles
Any of several membrane-enclosed structures with specialized functions, suspended in the cytosol of eukaryotic cells.
Cell
The part of a neuron that houses the nucleus and most other organelles.
Molecule
Two or more atoms held together by covalent bonds.
Negative Feedback
A form of regulation in which accumulation of an end product of a process slows the process; in physiology, a primary mechanism of homeostasis, whereby a change in a variable triggers a response that counteracts the initial change.
Positive Feedback
A form of regulation in which an end product of a process speeds up that process; in physiology, a control mechanism in which a change in a variable triggers a response that reinforces or amplifies the change.
Adaptation
Inherited characteristic of an organism that enhances its survival and reproduction in a specific environment.
What are the 7 Characteristics of Life?
1. Order
2. Regulation
3. Energy Processing
4. Evolutionary Adaptation
5. Response to the Environment
6. Reproduction
7. Growth and Development

Metabolism
The totality of an organism's chemical reactions, consisting of catabolic and anabolic pathways, which manage the material and energy resources of the organism.
What are the three domains by which all living organisms are classified?
Domain Bacteria
Domain Archaea
Domain Eukarya

What are the 4 kingdoms in the Domain Eukarya?
Plantae
Animalia
Fungi
Protista
What are Bacteria?
All unicellular prokaryotic (no nucleus) organisms with peptidoglycan in their cell walls
What is the Theory of Natural Selection?
A process in which individuals that have certain inherited traits tend to survive and reproduce at higher rates than other individuals because of those traits.
Why is evolution considered the core theme of biology?
Evolution accounts for the unity and diversity of life and it explains the most fundamental aspects of all life on earth. It accounts for the common features shared by all forms of life due to the descent from a common ancestor.
Define Biology? What is the definition of Biology
Biology is the scientific study of life
What is the molecule that can account for both the unity and the diversity of life?
DNA
What is the appropriate term for an interacting group of individuals of a single type occupying a defined area?
A Population
How would you define a Eukaryotic cell?
A eukaryotic cell has membrane-enclosed organelles, the largest of which is usually the nucleus

How would you define a prokaryotic cell?
A prokaryotic cell is simpler and usually smaller, and does not contain a nucleus or other membrane-enclosed organelles

What are the 7 Properties/Characteristics of Life
1. Order
2. Regulation
3. Energy Processing
4. Evolutionary Adaptation
5. Response to the Environment
6. Reproduction
7. Growth and Development

What are the 10 levels of Biological Organization?
1. Biosphere
2. Ecosystem
3. Communities
4. Populations
5. Organisms
6. Organs and Organ Systems
7. Tissues
8. Cells
9. Organelles
10. Molecules

Cell
The lowest level of organization that can perform all activities required for life

Of the three domains Bacteria, Archaea, and Eukarya, which one is prokayotic?
Archaea
The energy used by most organisms for metabolism and growth ultimately comes from....
The sun
Eukaryotic organisms that decompose dead organisms and absorb the nutrients are generally found in which kingdom?
Fungi
Primary Structure
-Sequence of AAs attached by peptide bonds

Secondary Structure
- Arises through hydrogen bonding between carbonyl oxygen and amino hydrogens located on the peptide backbone (main chain)
- Two most common are alpha helices and beta sheets
- DOES NOT involve H-bonding of side chains, but the type of secondary structure that's formed can be influenced by side chains

Tertiary Structure
- Refers to interactions of secondary structures
- Side chain and main chain H-bonding are important - Also ionic, hydrophobic, and van der Waals

Quaternary Structure
- Interactions between different polypeptide chains
- Interactions mediated by same forces important for tertiary structure
- Relative orientation of subunits can change to regulate function of the complex

Interactions Governing S,T, and Q Structures of Protein
1. H-Bonds
- Especially important for secondary structure
2. Ionic
- Between side chains of charged AAs - "salt bridges"
3. Hydrophobic
- Hydrophobic side chains exclude water and get packed together - E favorable, an entropic effect
4. Van der Waals - not strong on own but yes in aggregate
- Between any two atoms
- Important in tightly packed regions of the protein

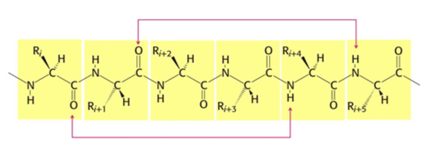
H-Bonding in an Alpha Helix
- Alpha helix stabilized by main chain H-bonds
- Occurs between every fourth residue (red arrows)
- Happens between partially negative O and hydrogens on partially positive N (due to partial double bond character of peptide bond)
- Turns once ever 3.6 AAs
- Though side chains ARE NOT directly involved in forming H-bonds, the nature of the side chain helps determine which secondary structure will form

Structure of Alpha Helix
- All opportunities for H-bonding in a peptide backbone are satisfied
- This makes alpha helix E favorable for spanning a lipid bilayer - the H on the N and the Carbonyl O are already interacting with each other - dont need to interact with water

Protein Structure
- A series of secondary structure elements linked together by flexible connectors (loops or unstructured regions)
- NOT ALL AAs in a protein are part of a secondary structure - some just exist as a short segment connecting one 2ndary to another

Parallel Beta Sheets
- All strands run in same direction
- Notice that H-Bond alignment is slightly different

H-Bonds and Tertiary Structure
1. Bonds between main chains of 2 different strands
2. Bonds between the peptide bond and a side chain
3. Bonds between two side chains

Ionic and van der Waals Interactions
1. Ionic (salt bridges)
- Important in tertiary and quaternary structures
- Negative AA interacts with Positive AA
2. Van der Waals
- Occur by close packing of AA side chains
- Often important in stabilization at center of protein

Hydrophobic Interactions
- In terms of E, strongest force driving protein folding is hydrophobic interaction - in the interior of a protein
- Just want to get away from water - move to center of protein to do so - then have van der Waal interactions

Hypothetical Protein Folding Pathway
1. Secondary structures acquired
2. Tertiary structures acquired

Proteins composed of Beta Sheets
Immunoglobulin Fold - found in IgG and other proteins
B-propeller - 4-7 blades and is important for mediating protein protein interaction
B-Barrel - found in natrually fluorescent protein from jellyfish (GFP) - barrel shields the fluorophore from water

hydroxyl group
consists of a hydrogen bonded to an oxygen.

carbonyl group
a carbon linked by a double bond to an oxygen atom. also called an aldehyde or a ketone depending on its location.

carboxyl group
consists of a carbon double-bonded to both an oxygen and a hydroxyl group

amino group
composed of a nitrogen bonded to two hydrogen atoms and the carbon skeleton

phosphate group
consists of a phosphorus atom bonded to four oxygen atoms

aldehyde
the name for a carbonyl group (c=o) located at either end of a carbon skeleton.

ketone
the name for a carbonyl group (c=o) located near the middle of a carbon skeleton.

Element,
a substance that cannot be broken down to other substances by chemical reactions. (92)
essential elements,
the 20-25% of natural elements that an organism needs to live a healthy life and reproduce.
Trace elements,
elements required by an org. in only minute quantities
Dalton,
1.7 x 10^-24 g. same as amu (atomic mass unit). The mass of a proton or neutron.
atomic number,
The number of protons in an element. 2He means there are 2 protons in the nucleus of helium. Equal number of electrons unless noted.
mass number,
The sum of protons plus neutrons in the nucleus of an atom. 4/2He means there are 2 neutrons
atomic mass,
Total mass of an atom. = approximately the mass number.
isotope,
A different atomic forms of the same element. All atoms of same element have same number of protons, but isotopes have more neutrons giving greater mass.
Radioactive isotope,
Isotope in which the nucleus decays spontaneously, giving off particles and energy. If # of protons changes it changes into a different element.
Energy,
Capacity to cause change.
Potential energy:
The energy matter possesses because of its location or structure. (Water on a hill has potential energy because of it's altitude)
Electron Shells:
Different levels (like a staircase) where electrons can be found. The higher the level (father the distance) the more potential energy on the electron.
Valence electrons,
Electrons in the outermost shell of an atom.
Valence shell,
The outermost electron shell of an atom.
Valence,
The bonding capacity of an atom; the number of unpaired electrons required to complete the valence shell. Oxygen has a valence of 2.
Completed valence shell,
The atom with a full valence shell will not react readily with other atoms. Called inert.
Shell limits,
1:2, 2:8, 3:8
Orbital,
The 3dimensional space where an electron is found 90% of the time.
Molecule,
Two or more atoms held together by COVALENT bonds.
Compound,
Combination of two or more different elements.
Electronegativity,
The attraction of an atom for the electrons of a covalent bond. Greater atom's elecneg, the more it pulls electrons toward itself.
Ion,
A charged atom or molecule
Cation,
A positively charged Ion
Anion,
A negatively charged Ion
Ionic Bond
attraction between anions and cations
Ionic compounds are called,
Salts
Polar molecule,
the overall charge of a molecule is unevenly distributed
Cohesion,
ex. water has high cohesion because of the abundance of hydrogen bonds. capacity to hold itself together.
Adhesion,
the clinging of one substance to another.
kinetic energy,
the energy of motion. anything that moves has kinetic energy. Atoms and molecules have kinetic energy.
heat,
a form of energy. the measure of a matter's total kinetic energy due to motion of its molecules; depends in part on the matter's volume. not temperature
Light Microscope,
visible light is passed through the specimen and then through the glass lenses. up to x1000
Organelles,
membrane-enclosed structures within eukaryotic cells.
Electron microscope,
Uses a beam of electrons instead of light. Elecron microscopes kill the cells in preparation unlike light microscopes.
Scanning electron microscope,
electron beam scans the surface of the sample, usually coated with gold.results in a 3d image of the specimen's surface.
Transmission Electron Microscope,
used to study internal structure of cells.
Cell fractionation,
takes cells apart and separates major organelles and other subcellular structures.
eukaryotic cell,
most of DNA inside nucleus, bounded by a double-membrane.
prokaryotic cell,
DNA is concentrated in a region that is not membrane enclosed, called the nucleoid.
cytoplasm,
interior of a cell, in euk cells: the region between the nucleous and plasma membrane.
plasma membrane,
selective barrier that allows passage of enough oxygen, nutrients, and wastes to service the entire cell.
nucleus,
contains most of the genes in a eukaryotic cell (also in mitochondria and chloroplasts).