1/5
Looks like no tags are added yet.
Name | Mastery | Learn | Test | Matching | Spaced |
|---|
No study sessions yet.
How much heat is needed to add to bring it back to T,P


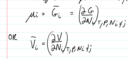
partial molar quanity
the total property of the solution over the change in moles of i
it is the response of the total property to a change in moles of one component at T,P

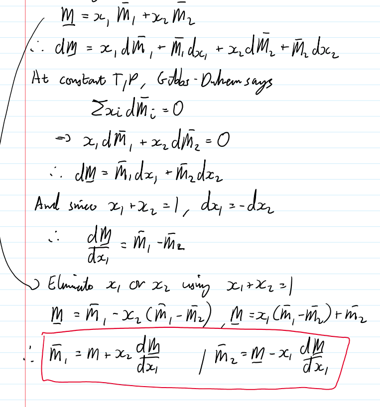
N.B relationships between mixtures also hold

Gibbs-Duhem relationship

Gibbs-duhem relationship for a binary mixture

if solution property as function of composition at const. T and P is known —> calculate partial properties
