1/90
Looks like no tags are added yet.
Name | Mastery | Learn | Test | Matching | Spaced | Call with Kai |
|---|
No study sessions yet.

5-à Gonane

5-B Gonane

Estrane

Trilostane

Mifepristone

Spironolactone

11-doxycorticosterone

Fludrocortisone acetate

Clobestasol propionate

Flunisolide

Fluticasone propanoate

Budesonide

Beclomethasone dipropanoate

Triamcinolone acetonide

Triamcinolone

Dexamethasone

Betamethasone

Methyl prednisolone

Prednisolone

Prednisone

Hydrocortisone

Cortisone

Aldosterone

Cholesterol

Progesterone

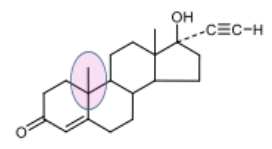
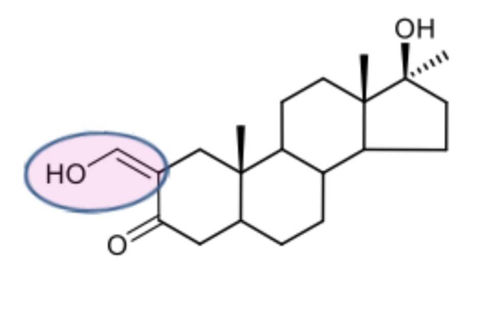
Testosterone

Estrogen

Cholestane

Pregnane

Androstane

Cholane

Metyrapone

Momentasone furoate

Estrone

17- B estradiol

Estriol

Estradil valerate

Ethinyl estradiol

Mestranol

Stilbine

DES

Chlorotrianisene

Genistein

Diadzein

Coumestrol

Clomiphene

Tamoxifen

Raloxifene

4-hydroxy androsenedione. 4-OHA

Exemestane

Anastrazole

Letrozole

Fulvestrant

20 a or b hydroxyprogesterone

5-B pregnandiol

6-a hydroxy progesterone

Medroxy progesterone acetate

Megestrol acetate

Dihydroxy progesterone acetophenide

Ethistrone

Norethistrone

Norgestrel

Allylestrenol

Mifepristone

Onapristone

Ulipristal acetate

Testosterone

4-a dihydotestosterone

Testosterone esters

Methytestosterone .5

Fluoxymesterone 10 times

Nandrolone

Noeethandrolone

Methandrostrelone

Oxymetholone. 6 times

Stanzolol

Oxandrolone

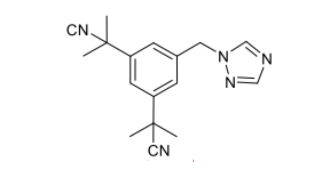
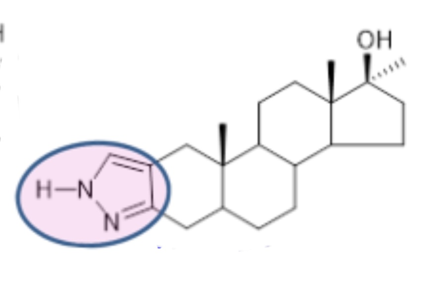
Finasteride

Dutasteride

Enzalutamide

Abirasterone

Bazedoxifene

Biphosphate

Pyrophosphate

Etidoate bisodium

Pamidronate

Alendronate

Risedtonate

7-dehydroclesterol

25-hydroxy cholecalciferol

1,25-dihydroxy cholecalciferol D3