1/35
Name | Mastery | Learn | Test | Matching | Spaced |
|---|
No study sessions yet.
Vertical Axis (Parabola)
(x-h)^2=4p(y-k)
Vertical Axis (Parabola) Focus
(h, k+p)
Vertical Axis (Parabola) Directrix
y = k - p
Vertical Axis (Parabola) Axis
x = h
Horizontal Axis (Parabola)
(y-k)²=4p(x-h)
Horizontal Axis (Parabola) Focus
(h + p, k)
Horizontal Axis (Parabola) Directrix
x = h - p
Horizontal Axis (Parabola) Axis
y = k
Ellipse: Major Axis (Vertical)

Ellipse: Major Axis (Vertical) Major Vertices
(h, k + a)
(h, k - a)
Ellipse: Major Axis (Vertical) Co-Vertices (Minor)
(h + b, k)
(h - b, k)
Ellipse: Major Axis (Vertical) Foci
(h, k + c)
(h, k - c)
Ellipse: Major Axis (Horizontal)

Ellipse: Major Axis (Horizontal) Major Vertices
(h + a, k)
(h - a, k)
Ellipse: Major Axis (Horizontal) Co-Vertices (Minor)
(h, k + b)
(h, k - b)
Ellipse: Major Axis (Horizontal) Foci
(h + c, k)
(h - c, k)
Horizontal and Vertical Ellipse Distance
c² = a² - b²
Circle
(x-h)² + (y-k)² = r²
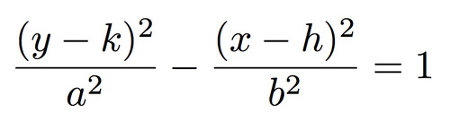
Vertical Hyperbola

Vertical Hyperbola Vertices
(h, k + a)
(h, k - a)
Vertical Hyperbola Conjugate Axis (Co-Vertices)
(h + b, k)
(h - b, k)
Vertical Hyperbola Foci
(h, k + c)
(h, k - c)
Vertical Hyperbola Asymptote
y = k ± a/b (x - h)
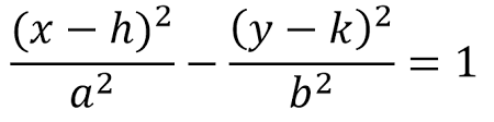
Horizontal Hyperbola

Horizontal Hyperbola Vertices
(h + a, k)
(h - a, k)
Horizontal Hyperbola Conjugate Axis (Co-Vertices)
(h, k + b)
(h, k - b)
Horizontal Hyperbola Foci
(h + c, k)
(h - c, k)
Horizontal Hyperbola Asymptote
y = k ± b/a (x - h)
Hyperbola Distance
c² = a² + b²
Circle (Graph)

Vertical Parabola

Horizontal Parabola

Vertical Ellipse

Horizontal Ellipse

Vertical Hyperbola (Graph)
Horizontal Hyperbola (Graph)
