Unit 10 Formulas

0.0(0)
studied byStudied by 0 people
0.0(0)
full-widthCall with Kai
learnLearn
examPractice Test
spaced repetitionSpaced Repetition
heart puzzleMatch
flashcardsFlashcards
GameKnowt Play
Card Sorting

1/18

encourage image

There's no tags or description

Looks like no tags are added yet.

Study Analytics
Name
Mastery
Learn
Test
Matching
Spaced
Call with Kai

No study sessions yet.

19 Terms

1
New cards
<p></p>

knowt flashcard image
2
New cards
term image
knowt flashcard image
3
New cards
term image
knowt flashcard image
4
New cards
term image
knowt flashcard image
5
New cards
term image
knowt flashcard image
6
New cards
term image
knowt flashcard image
7
New cards

Four Sum/Diff as a Product Formulas

knowt flashcard image
8
New cards
term image
knowt flashcard image
9
New cards
term image
knowt flashcard image
10
New cards
term image
knowt flashcard image
11
New cards
term image
knowt flashcard image
12
New cards

Double Angle Formulas

knowt flashcard image
13
New cards

Sin(2a)

knowt flashcard image
14
New cards

cos(2a)

knowt flashcard image
15
New cards

tan(2a)

knowt flashcard image
16
New cards

Half Angle Formulas

knowt flashcard image
17
New cards

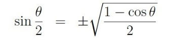
Sin(θ/2)

knowt flashcard image
18
New cards

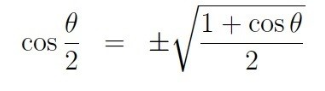
cos(θ/2)

knowt flashcard image
19
New cards

tan(θ/2)

knowt flashcard image