1/11
Looks like no tags are added yet.
Name | Mastery | Learn | Test | Matching | Spaced |
|---|
No study sessions yet.
condition for destructive interference (single slit)

intensity of single-slit diffraction (fraunhofer)

fraunhofer diffraction
light source is very far away (i.e. incident rays are approximately parallel)
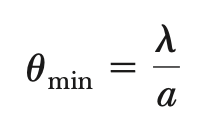
limiting angle of resolution (slit)

limiting angle of resolution (circular aperture)

Rayleigh’s criterion
When the central maximum falls on another’s first minimum, the images are just resolved
condition for interference maxima (for a diffraction grating)

Bragg’s Law

*condition for constructive interference
*θ = angle from reflecting surface
Malus’s Law

Brewster’s law

*θp = polarizing angle
*@ θp, reflected light is 100% polarized perpendicular to incident plane
*refracted light is always partially polarized parallel to incident plane