1/81
Looks like no tags are added yet.
Name | Mastery | Learn | Test | Matching | Spaced |
|---|
No study sessions yet.
Prototype Penicillin
Penicillin G

Prototype Penicillinase-resistant penicillin
Methicillin

Prototype Carbapenem
Imipenem

Prototype 1st Gen Cephalosporin
Cefazolin/Cephalexin

Prototype Tetracycline
Tetracycline

Prototype Aminoglycoside
Gentamicin

Prototype Macrolide
Erythromycin

Prototype Azole Antifungal
Ketoconazole

Prototype Echinocandin Antifungal
Caspofungin

Prototype Antimalarial
Chloroquine

Prototype Antiviral
Acyclovir

Prototype NRTI (Nucleoside Reverse Transcriptase Inhibitor)
Zidovudine

Prototype Fibrate
Clofibrate/Gemfibrozil

Prototype Bile acid-binding resin
Cholestyramine

Prototype HMG-CoA reductase inhibitor
Lovastatin

Prototype Biguanide
Metformin

Prototype PPI (Proton Pump Inhibitor)
Omeprazole

Prototype Loop Diuretic
Furosemide

Prototype Thiazide Diuretic
Hydrochlorothiazide

Prototype Antianginal vasodilator
Nitroglycerin

Prototype Group 1A antiarrhythmic
Quinidine/Procainamide

Prototype Group 3 antiarrhythmic
Sotalol/Bretylium/Amiodarone

Prototype Cardiac Glycoside
Digoxin

Prototype Group 4 CCB
Verapamil/Diltiazem

Prototype Dihydropyridine CCB
Nifedipine

Prototype ACE inhibitor
Captopril

Prototype ARB (Angiotensin AT1 Receptor Blocker)
Losartan

Prototype Long-acting amide local anesthetic
Bupivacaine

Prototype Glucocorticoid
Prednisone

Prototype Androgen Receptor Antagonist
Flutamide

Prototype Aromatase Inhibitor
Anastrazole

Prototype General Anesthetic
Halothane

Prototype Medium-duration amide local anesthetic
Lidocaine

Prototype NSAID
Aspirin

Prototype Oral Anticoagulant
Warfarin

Prototype Opioid Analgesic
Morphine

Prototype Benzodiazepine
Diazepam

Prototype Phenothiazine Antipsychotic
Chlorpromazine

Prototype Tricyclic Antidepressant
Imipramine

Prototype SSRI (Selective Serotonin Reuptake Inhibitor) antidepressant
Fluoxetine

Prototype Antimanic
Lithium

Prototype Ethanolamine antihistamine
Diphenhydramine

Prototype 1st Gen H1 blocker
Chlorpheniramine

Prototype H2 blocker
Cimetidine

Prototype 5-HT3 receptor blocker
Ondansetron

Prototype Adrenoceptor agonist
Epinephrine & Norepinephrine

Prototype Indirect-acting sympathomimetic
Tyramine

Prototype Psychostimulant & Anorexiant
Amphetamine

Prototype Alpha-blocker
Phenoxybenzamine

Prototype Alpha 1-selective blocker
Prazosin

Prototype B1 & B2 agonist catecholamine
Isoproterenol

Prototype Rapid-acting B2 agonist
Albuterol

Prototype Nonselective Beta blocker
Propranolol

Prototype CNS dopamine agonist
Bromocriptine

Prototype Ganglion Blocker
Hexamethonium

Prototype Nondepolarizing neuromuscular blocker
Tubocurarine

Prototype Depolarizing neuromuscular relaxant
Succinylcholine

Prototype Cholinomimetic
Acetylcholine

Prototype Muscarinic receptor partial agonist
Pilocarpine

Prototype Cholinoceptor blocker
Atropine

Prototype Synthetic Quaternary Nitrogen Carbamate (less CNS effect) Cholinesterase inhibitor
Neostigmine

Prototype Centrally-acting Antimuscarinic
Benztropine

Prototype Short-acting Acetylcholinesterase inhibitor
Edrophonium

Prototype Weak Opioid Agonist
Codeine

Prototype 2nd Gen Cephalosporin
Cefuroxime

Prototype 5-HT1D Agonist
Sumatriptan

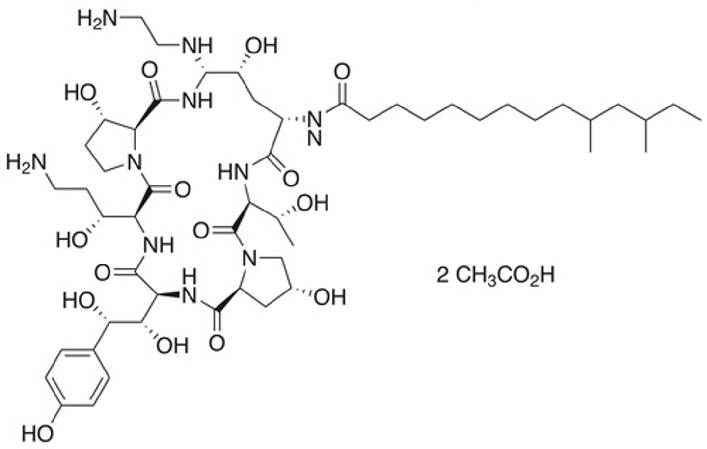
Prototype Cyclic Lipopeptide (CLP)
Daptomycin

Prototype Centrally-acting muscle relaxant
Mephenesin

Prototype 2nd Gen Atypical Antipsychotic
Clozapine

Prototype Local Anesthetic
Procaine

Prototype Anticonvulsant
Phenytoin

Prototype Opioid Antagonist
Naloxone

Prototype Group 2 antiarrhythmic
Propranolol

Prototype Indoline Thiazide-like Diuretic
Indapamide

Prototype Synthetic Pentasaccharide Anticoagulant
Fondaparinux

Prototype Short-acting insulin
Regular human insulin

Prototype Meglitinide Insulin Secretagogue
Meglitinide

Prototype "sulide" COX-2 Inhibitor
NS-398 & Nimesulide

Prototype "coxib" COX-2 Inhibitor
DuP 697

Prototype Organophosphate
Parathion

Prototype Sulfonamide
Prontosil
(Brilliant Red, Azo dye prodrug)

Prototype Quinolone
Nalidixic acid
