Lecture 3 Polymer Materials - Chemistry

0.0(0)
studied byStudied by 0 people
full-widthCall with Kai
GameKnowt Play
learnLearn
examPractice Test
spaced repetitionSpaced Repetition
heart puzzleMatch
flashcardsFlashcards
Card Sorting

1/25

encourage image

There's no tags or description

Looks like no tags are added yet.

Study Analytics
Name
Mastery
Learn
Test
Matching
Spaced

No study sessions yet.

26 Terms

1
New cards

What is a polymer?

A polymer  is a substance composed of molecules which have long sequences of one or more species of atoms or groups of atoms linked to each other by primary, usually covalent, bonds.

2
New cards

How are polymer molecules formed?

Polymer molecules are formed by linking together monomer molecules through polymerization.

3
New cards

What are the different classes of skeletal structures for polymers?

Linear: Chain with two ends

Branched: Side chains or branches of significant length bonded to the main chain at branch points

Network or Cross-linked: 3D structure, each chain connects to all the others

<p>Linear: Chain with two ends</p><p>Branched: Side chains or branches of significant length bonded to the main chain at branch points</p><p>Network or Cross-linked: 3D structure, each chain connects to all the others</p>
4
New cards

Thermoplastics vs. Thermosets

knowt flashcard image
5
New cards

What is a homopolymer?

•A polymer resulting from the polymerization of a single monomer; a polymer consisting substantially of a single type of repeating unit.


     -A-A-A-A-A-A-,

     n,  degree of polymerization

•Examples, Polyethylene(PE)

<p><span>•A polymer resulting from the polymerization of a single monomer; a polymer consisting substantially of a single type of repeating unit.</span></p><p style="text-align: left;"><span><br>&nbsp;&nbsp;&nbsp;&nbsp; -A-A-A-A-A-A-, </span></p><p style="text-align: left;"><span>&nbsp;&nbsp;&nbsp;&nbsp; n,&nbsp; degree of polymerization</span></p><p><span>•Examples, Polyethylene(PE)</span></p><p></p>
6
New cards

What is a copolymer?

Definition: Polymers whose molecules contain more than one type of repeat unit.

7
New cards

What are statistical copolymers?

Statistical copolymers: the sequential distribution of the repeat units obeys known statistical laws

Random copolymer, a special type of statistical copolymer, true random

<p><span>•<strong>Statistical copolymers</strong>: the sequential distribution of the repeat units obeys known statistical laws</span></p><p><span>–<strong>Random copolymer</strong>, a special type of statistical copolymer, true random</span></p><p></p>
8
New cards

What is an alternating copolymer?

knowt flashcard image
9
New cards

What is a graft copolymer?

branched polymers with branch having different chemical structure from the main chain

Graft and block copolymers may have unique properties that are not intermediate to those of the corresponding homopolymers

<p><span>branched polymers with branch having different chemical structure from the main chain</span></p><p><span><em><u>Graft and block copolymers may have unique properties that are not intermediate to those of the corresponding homopolymers</u></em></span></p><p></p>
10
New cards
<p>What is a block copolymer?</p>

What is a block copolymer?

Repeat units exist in long sequences or blocks of the same type

Graft and block copolymers may have unique properties that are not intermediate to those of the corresponding homopolymers

<p></p><p><span>Repeat units exist in long sequences or blocks of the same type</span></p><p>G<em><u>raft and block copolymers may have unique properties that are not intermediate to those of the corresponding homopolymers</u></em></p><p></p>
11
New cards

What are the two methods of Synthesis?

  • Step-growth Polymerization

    • Polymerization in which the polymer chains grow step-wise by reactions that can occur between any two molecular species

  • Chain-growth Polymerization

    • Polymerization in which a polymer chain grows only by reaction of monomers with a reactive end-group on the growing chain

<ul><li><p>Step-growth Polymerization</p><ul><li><p><span>Polymerization in which the polymer chains grow step-wise by reactions that can occur between any two molecular species</span></p></li></ul></li><li><p>Chain-growth Polymerization</p><ul><li><p><span>Polymerization in which a polymer chain grows only by reaction of monomers with a reactive end-group on the growing chain</span></p></li></ul></li></ul><p></p>
12
New cards

How does the step-growth polymerization reaction, Condensation, work?

2n-1 H2O’s for polyester and polyamides

some medical materials based on polyester: vessel made from polyester material

an example of polyamide use in medicine is nylon-based sutures

<p>2n-1 H2O’s for polyester and polyamides</p><p>some medical materials based on polyester: vessel made from polyester material</p><p></p><p>an example of polyamide use in medicine is nylon-based sutures</p>
13
New cards

What is the significance of branching and Crosslinking in a Condensation

If you introduce more than two reactive groups, you can get crosslinks and/or branches

<p>If you introduce more than two reactive groups, you can get crosslinks and/or branches</p>
14
New cards

What are the two categories of chain-growth polymerization?

•Free Radical Polymerization

–Free radical: independently-existing species with unpaired electron and are normally highly reactive

–Polymer molecule grows by addition of monomer to a terminal free-radical reactive site known as active center

•Ionic Polymerization

–Anionic

–Cationic

15
New cards

Method for Free-Radical Polymerization: Initiation

Initiator: Starts formation of radical in presence of some catalyst

Initiation: Initiator I2→R· + R·

•R · + M → RM ·

<p>Initiator: Starts formation of radical in presence of some catalyst</p><p><span>Initiation: Initiator I<sub>2</sub>→R· + R·</span></p><p><span>•R · + M → RM ·</span></p><p></p>
16
New cards
<p>Which radical is more likely to perform</p>

Which radical is more likely to perform

Mode (I) predominates because attack at the methylene carbon is less

sterically-hindered and yields a product free radical that’s more stable.

17
New cards

Free Radical Polymerization: What is propagation

The growing of a chain

<p>The growing of a chain</p>
18
New cards

Free Radical Polymerization: What is Termination

The method of termination is pretty random, nothing is dominant, and it varies based on the X you have

<p>The method of termination is pretty random, nothing is dominant, and it varies based on the X you have</p>
19
New cards

What is Anionic Polymerization?

  • Active center has ionic charge, \/\/\/CH2-CHX. There is no inherent termination process in anionic polymerization.

  • In the absence of chain transfer, the propagating polymer chain retain their active carbonionic end-groups.

  • When more monomers added, the chain continue to grow

  • → living polymerization

  • Can be used for making block copolymers

<ul><li><p><span>Active center has ionic charge, \/\/\/CH2-CHX. There is no inherent termination process in anionic polymerization. </span></p></li><li><p><span>In the absence of chain transfer, the propagating polymer chain retain their active carbonionic end-groups. </span></p></li><li><p><span>When more monomers added, the chain continue to grow </span></p></li><li><p><span>→ living polymerization</span></p></li><li><p><span>Can be used for making block copolymers</span></p></li></ul><p></p>
20
New cards

Nomenclature for polymers: Examples

knowt flashcard image
21
New cards

How to name polymers based on chemical structure of the repeat unit>

knowt flashcard image
22
New cards

Molar Mass, Degree of Polymerization & Molar Mass Distribution

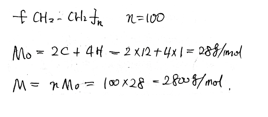
•Molar Mass M=nM0

–n, degree of polymerization, number of repeat units

–M0, molar mass of the repeat unit

•Molar Mass Distribution

–With very few exceptions, polymers consist of macromolecules with a range of molar mass.

23
New cards

Polyethylene’s number of repeat unit is n=100, what is the molar mass of the polymer?

24
New cards

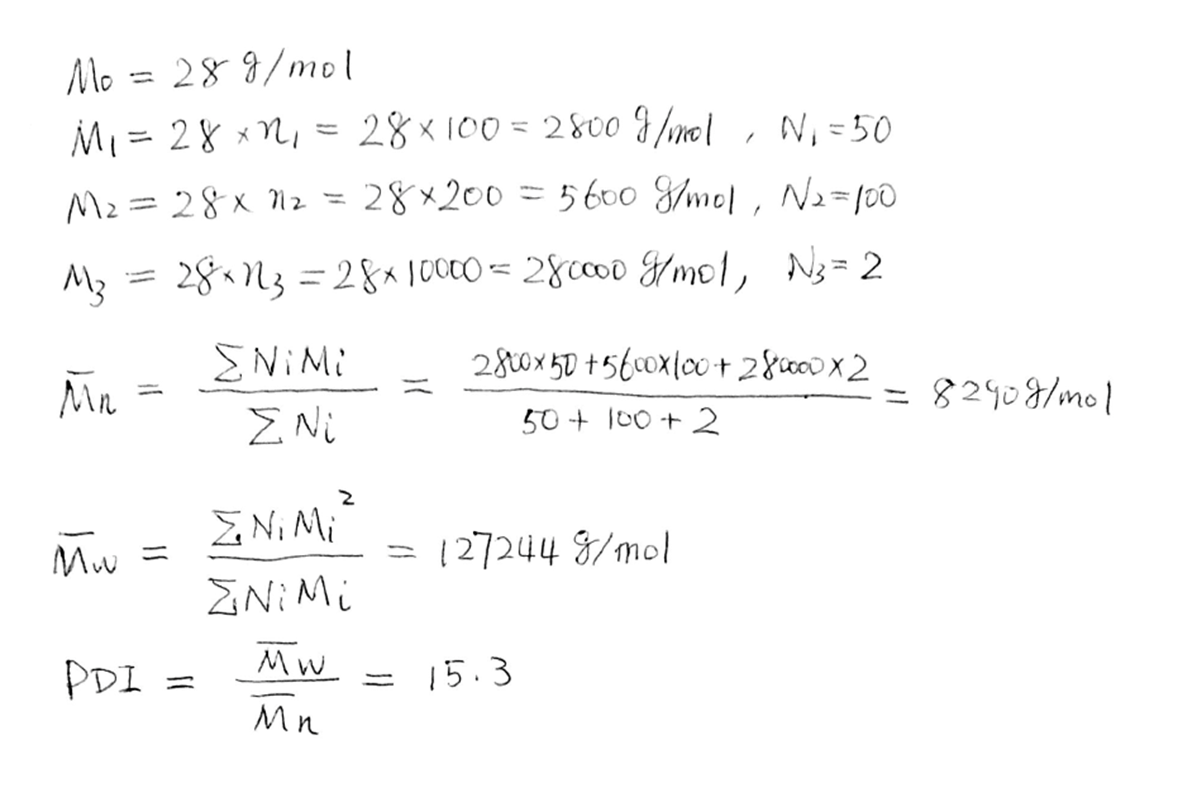
Average Molar Mass (Molecular Weight)

small n is degree of polymerization

big N is number of molecules

<p>small n is degree of polymerization</p><p>big N is number of molecules</p>
25
New cards
<p></p>

26
New cards

Molecular Weight Distribution

knowt flashcard image