Orgo 2 - up to test 1

0.0(0)
studied byStudied by 0 people
0.0(0)
full-widthCall with Kai
GameKnowt Play
New
learnLearn
examPractice Test
spaced repetitionSpaced Repetition
heart puzzleMatch
flashcardsFlashcards
Card Sorting

1/45

encourage image

There's no tags or description

Looks like no tags are added yet.

Study Analytics
Name
Mastery
Learn
Test
Matching
Spaced

No study sessions yet.

46 Terms

1
New cards

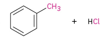
Toluene

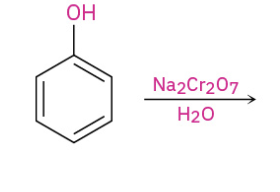
2
New cards

Phenol

3
New cards

Aniline

4
New cards

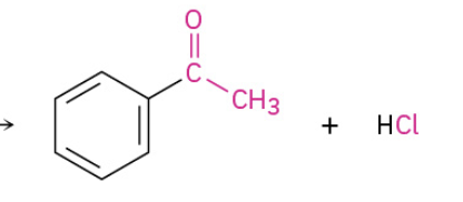
Acetophenone

5
New cards

Benzaldehyde

6
New cards

Benzoic Acid

7
New cards

ortho-Xylene

8
New cards

Stryrene

9
New cards

Fluorination

10
New cards

Bromination

11
New cards

Chlorination

12
New cards

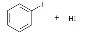
Iodination

13
New cards

Nitration

14
New cards

Sulfonation

15
New cards

Friedel-Crafts Alkylation

16
New cards

Friedel Crafts Acylation

17
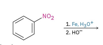
New cards

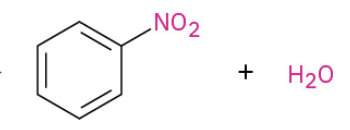
Reduction of aromatic nitro group

18
New cards

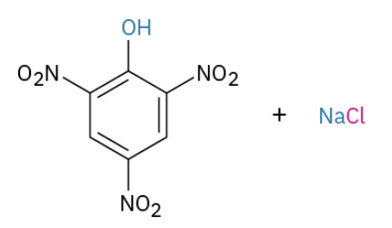
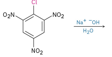
Nucleophilic Aromatic substitution by addition to activated halides

Works with HSO3 group as well instead of cl

19
New cards

Nuc Aro Sub by form of benzene intermed

20
New cards

Oxidation of alkylbenzene side chain

21
New cards

Benzylic bromination of alkylbenzene

22
New cards

Catalytic hydrogenation of aromatic ring

23
New cards

Reduction of aryl alkyl ketones

24
New cards

Reduction aldehyde

25
New cards

Reduction Ketone

26
New cards

Reduction Ester

27
New cards

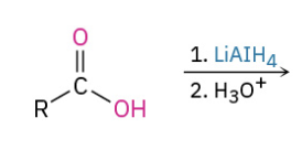
Reduction Carbox Acid

28
New cards

Grinyard Fromeldehyde

29
New cards

Grinyard Aldehyde

30
New cards

Grinyard Ketone

31
New cards

Grinyard Ester

32
New cards

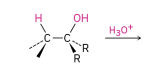
Dehydration

33
New cards

Dehydratin secondary and tertiary

34
New cards

Oxidation primary alc

35
New cards

36
New cards

Secondary alc

37
New cards

Carbox for primary

38
New cards

Phenol to anisole (to protect oh for friedel crafts)

39
New cards

Deprotection of Anisole (Benzene - o - CH3) to form Phenol

BBr3 or HBr/Heat

40
New cards

Make Phenol from Aniline

Aniline starter

  1. NaNO2, HCl in H2O

  2. H2O + heat

41
New cards

42
New cards

NH2 —> ClCOCH3 + Pyridine

H3O+, H2O, Heat

Stabilize NH2

Remove protecting group

43
New cards

PCC (mild reducing agent)

44
New cards

PDC (mild ox agent)

45
New cards

Protect OH then deprotect

TMS in Et2N

Remove with acid (3M with heat) in water

46
New cards

Remove HSO3

Dilute H2SO4 and heat