1/20
Looks like no tags are added yet.
Name | Mastery | Learn | Test | Matching | Spaced |
|---|
No study sessions yet.
Epimers v.s. Anomers

D v.s. L conformation for monosaccharide

Alpha and Beta monosaccharide conformation


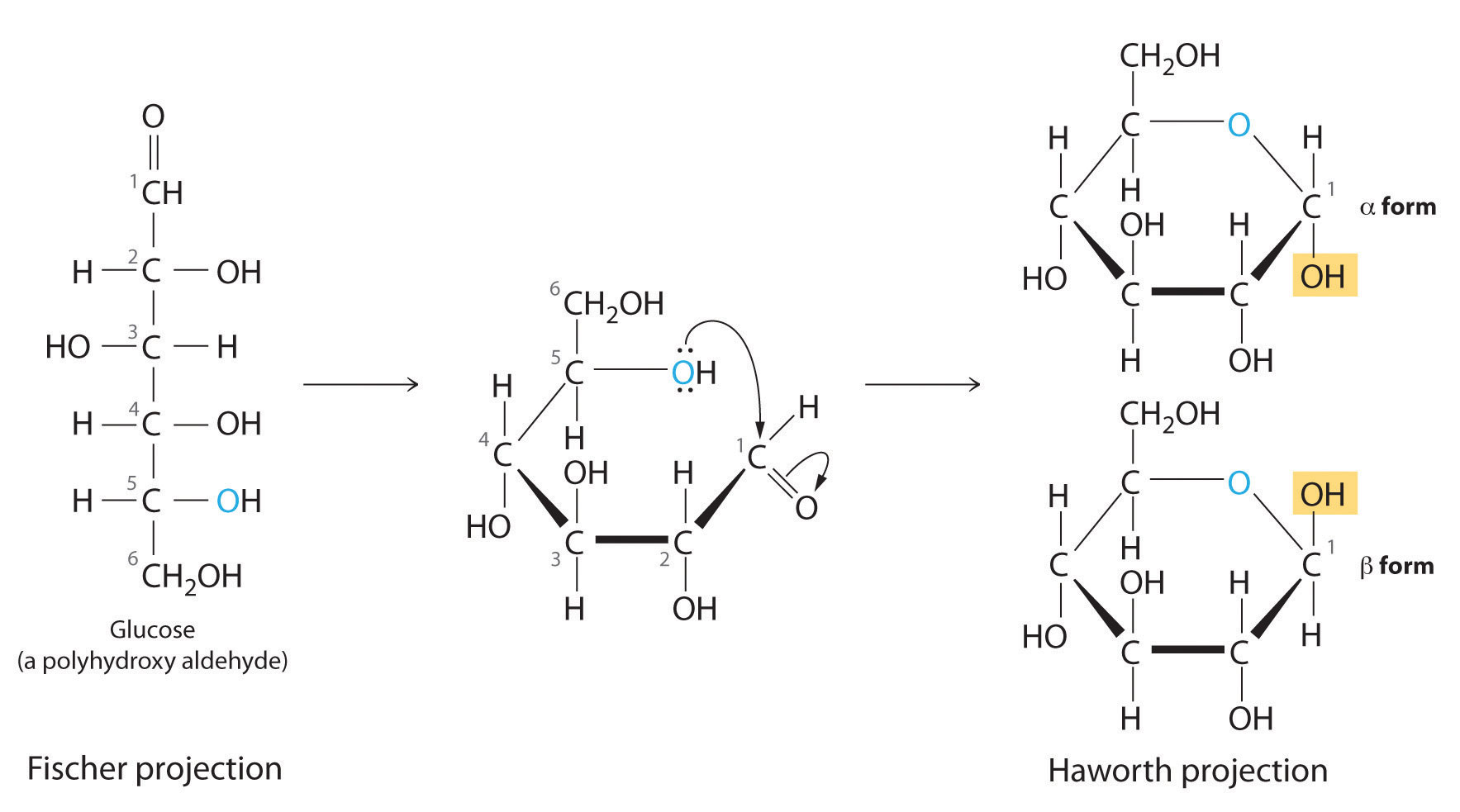
Glucose cyclization, which carbon/hydroxyl attacks which carbon?
In alpha form, does OH point up or down?
In beta form, does OH point up or down?
Hydroxyl on C5 attacks C1


Where is the anomeric carbon? Define it.
Carbon atom in a cyclic carbohydrate that was the carbonyl carbon in its open-chain form




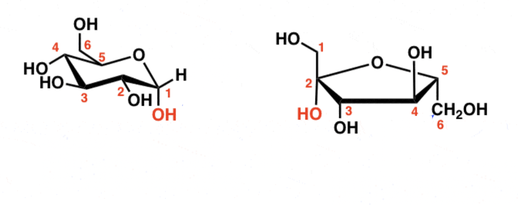
Which are glucose, fructose, and galactose?


Which is galactose and glucose?


Name the monosaccharides

Name this disaccharide: Maltose, lactose or sucrose?
What are the two sugars that compose the disaccharide?

Name this disaccharide: Maltose, lactose or sucrose?
What are the two sugars that compose the disaccharide?

Name this disaccharide: Maltose, lactose or sucrose?
What are the two sugars that compose the disaccharide?


Alpha and beta configurations for monosaccharides:
Trans/opposite = alpha
Cis/same = beta


Amide v.s. Amine


Enamine v.s. Imine

KMnO4
CrO3
Oxidizing agents
Turn alcohols / aldehydes into carboxylic acids
O3
Cleaves alkenes

LiAlH4
NaBH4
H2 (gas) + Pd (catalyst)
Reduces aldehydes, ketones, and carboxylic acids to 1º alcohols
Converts amides and nitriles (CN) to amines

Label: acetal, ketal, hemiacetal, hemiketal
Which come from ketones, which come from aldehydes?

Tollen’s reagent:
Purpose
(Strong/weak?) (Oxidizing/reducing?) agent
Identifies aldehydes (by converting them into carboxylic acids)
Weak oxidizing agent?
All reducing sugars will give a (+)
Benedict’s reagent:
Purpose
(Strong/weak?) (Oxidizing/reducing?) agent
Identifies aldehydes (+ = red solution)
Weak oxidizing agent
All reducing sugars will give a (+)