1/29
Looks like no tags are added yet.
Name | Mastery | Learn | Test | Matching | Spaced |
|---|
No study sessions yet.
QUADRILATERALS
General term for a four-sided polygon and is also known as tetragon or quadrangle
QUADRILATERALS PERIMETER
P=a+b+c+d
QUADRILATERALS DIAGONALS

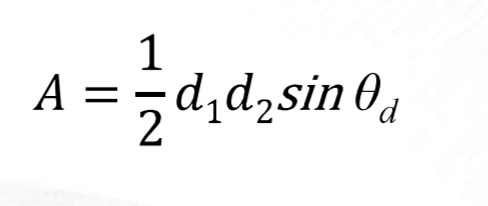
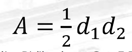
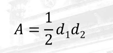
QUADRILATERALS AREA if given length of the two diagonals

QUADRILATERALS AREA if ony given yung sides

PARALLELOGRAM
2 opossite sides are parallel
2 opp sides are equal
2 opp interior angle are congruent
adjacent angles add up to 180
1 diagonal divides it into 2 equilateral triangles
RECTANGLE]

[SQUARE

RHOMBUS

PARALLELOGRAM FORMULAS PERIMETER

PARALLELOGRAM FORMULAS DIAGONAL

PARALLELOGRAM FORMULA area

PARALLELOGRAM FORMULA are if given yung height

REACTANGLE perimeter

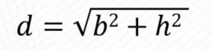
RECTANGLE DIAGONAL

RECTANGLE AREA
A=bh
SQUARE PERIMETER
P=4a
SQAURE DIAGONAL

SQUARE area

RHOMBUS perimeter
P=4b
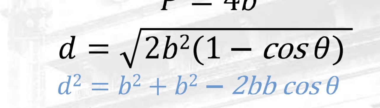
RHOMBUS diagonal

RHOMBUS AREA

TRAPEZOID
1 pair of parallel sides is the bases
2 non-parallel sides LEGS
TRAPEZOID PREIMETER
P=a+b+c+d
Trapezoid diagonals

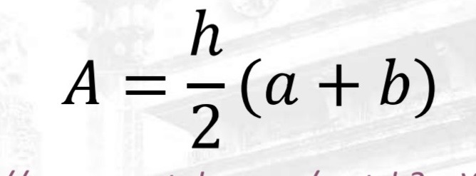
TRAPEZOID area

KITE AREA
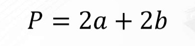
P=2a+2b
KITE DIAGONAL

KITE AREA

TRAPEZIUM
follows the general formulas
for a quadrilateral