1/57
Name | Mastery | Learn | Test | Matching | Spaced | Call with Kai |
|---|
No analytics yet
Send a link to your students to track their progress
nth Term Test
applies to infinite series of real numbers

Geometric Series Test
Use if the ratio between each two consecutive terms of a series is constant

Sum of Covergant geometric series
a/1-r
P-series Test

Alternating series test

Integral Test
Only use if the function is continuous, positive, and decreasing.

Root Test

Ratio Test
Mostly used with X!

Direct Comparison Test

Limit Comparison Test

l’Hopital’s Rule
If f(x)/g(x) = 0/0 or ∞/∞ when evaluating a limit, you can apply L'Hôpital's Rule to find the limit by taking the derivative of the numerator and denominator separately.
ln 1
0
ln e^a
a
d/dx xn
nxn-1
derivative of sinx
cosx
derivative of cosx
-sinx
derivative of tanx
sec2 x
derivative of cotx
-csc2 x
derivative of secx
secxtanx
derivative of cscx
-cscxcotx
derivative of lnu
1/u du/dx
derivative of eu
eudu/dx
derivative of logax
1/xlna
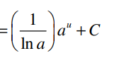
d/dx ax
axlna
d/dx f(u)
f’(u)du/dx
d/dx uv
udv/dx + vdu/dx
d/dx u/v
lodehi-hidelo/lo2
Mean Value Theorem
The Mean Value Theorem states that if a function is continuous on a closed interval and differentiable on the open interval, then there exists a point in the interval where the derivative equals the average rate of change of the function over that interval. (Used for derivatives)

Rolle's Theorem
Rolle's Theorem states that if a function is continuous on a closed interval and differentiable on the open interval, and the function values at the endpoints are equal, then there exists at least one point in the interval where the derivative is zero.
Local Minimum
dy/dx goes (-,0,+)
Local Maximum
dy/dx goes (+,0,-)
Critical Point
dy/dx= 0 or und
Point of Inflection
2nd derivative goes (+,0,-),(-,0,+), (+,und,-), or (-,und,+)
Integral from a to b f(x)
f(b) - f(a)
Euler’s Method
Euler's Method is a numerical technique for solving ordinary differential equations. It approximates the solution by advancing in small steps based on the derivative at each point.

Logistics Curve

Integral of un

Integral of au

Integration by Parts

LIPET
ln, inverse trig, polynomial, exponential, trig
Arc length Formula (rectangular)

Arc length Formula (polar graph)

Lagrange Error Bound
x= remainder error
c= center
n= degree polynomial
fn+1(z)= some z between a and x (the biggest one)

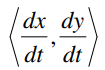
Velocity Vector

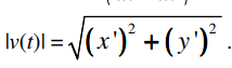
Speed

Distance Traveled

Area of a Polar Curve

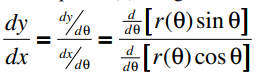
Slope of rθ

∑1/1-x
1 + x + x2 + x3 + … xn
∑1/1+x
1 - x + x2 - x3 + … (-xn)
∑ex
1 + x + x2/2! … + xn/n!
∑sinx
x - x3/3! +x5/5! + …. (-1)nx2n+1/(2n+1)!
∑cosx
1 - x2/2! + x4/4! +… (-1)nx2n/(2n)!
∑ln(1+x)
x - x2/2 + x3/3 …. + (-1)n-1xn/n
tan-1x
x - x3/3 + x5/5 + … (-1)nx2n+1/2n+1
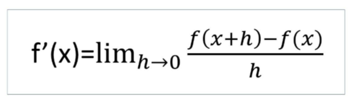
How to find the first derivative formula

Intermediate Value Theorum
States that if is a continuous function whose domain contains the interval [a, b], then it takes on any given value between and at some point within the interval.
![<p><span>States that if is a continuous function whose domain contains the interval [a, b], then it takes on any given value between and at some point within the interval.</span></p>](https://knowt-user-attachments.s3.amazonaws.com/e5697e45-9abf-4222-8de1-4a983a717cff.png)
Population Density Formula
integral f(x) x population density